ChessPro online

Bunratty Chess Festival 2008

вернуться в форум

08.06.2006 | 14:44:15

Главная  -  pro//турниры
написать сообщение

1

Mikhail_Golubev

мы сами не местные...

26.02.2008 | 09:46:33
Сайт

все его сообщения:
за день, за месяц,
за все время
 цитировать
Свидлер выиграл традиционный турнир в Ирландии
http://www.chesscenter.com/twic/twic694.html#12

2

MikhailK

1 разряд

26.02.2008 | 12:04:31
Email

все его сообщения:
за день, за месяц,
за все время
 цитировать  pm
Mikhail_Golubev: Свидлер выиграл традиционный турнир в Ирландии
http://www.chesscenter.com/twic/twic694.html#12

Свидлер там был безусловным фаворитом, обгоняя всех более чем на 200 пунктов рейтинга.
номер сообщения: 16-143-22038

3

Mikhail_Golubev

мы сами не местные...

27.02.2008 | 13:39:27
Сайт

все его сообщения:
за день, за месяц,
за все время
 цитировать  pm
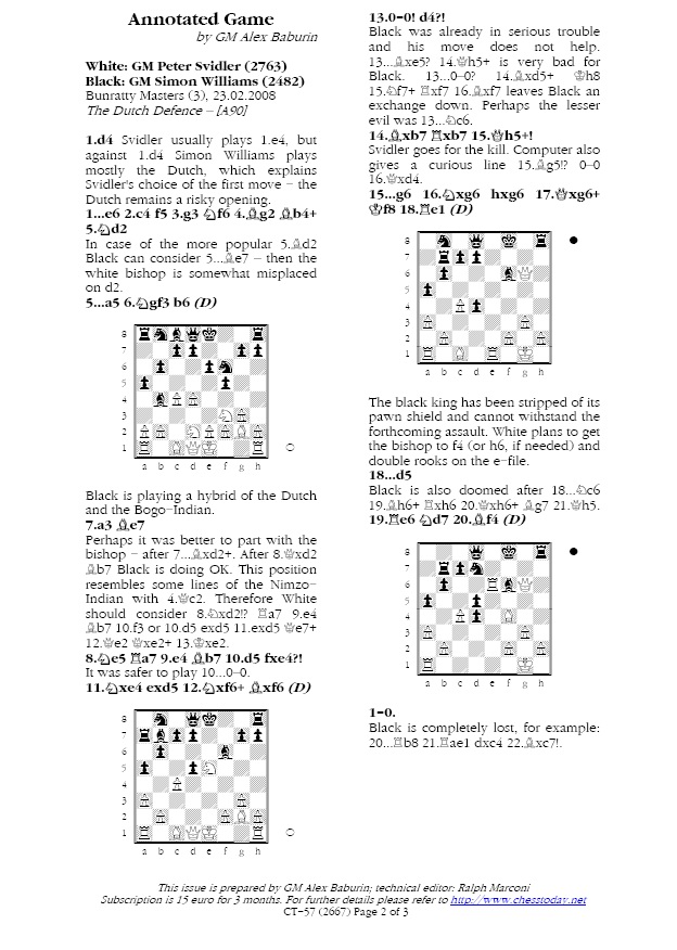
Одна партия Свидлера из турнира.
P.S. Картинку уворовывать на другие сайты только с разрешения редакции Chess Today.




__________________________
А теперь наш экипаж прощается с вами.
номер сообщения: 16-143-22044
написать сообщение