ChessPro online

Забавные задачки и головоломки

вернуться в форум

30.09.2007 | 20:54:28

Главная  -  Поговорим?  -  Наука

422

Quantrinas

Любитель
НН / R

08.03.2009 | 18:55:22

все его сообщения:
за день, за месяц,
за все время
Grigoriy: Да, конечно. Например, Юрик и Роджер наверняка поймут. Поясню. Открыто - значит, если мы достаочно мало изменим оператор - то он останется отображением "на"

Признаюсь, что техникой решения таких задач я не владею, надо лезть в учебник.


__________________________
Audiatur et altera pars
номер сообщения: 49-2-1680

423

Grigoriy

09.03.2009 | 06:36:19

все его сообщения:
за день, за месяц,
за все время
Grigoriy: Самолёт-разведчик летает по кругу радиусом 200 км со скоростью 1000 км/час. Из центра круга вылетает ракета с той же скоростью, всё время направленная на самолёт. Как скоро она поразит самолёт?
Задача забавна "ответом". Но я его увидел только после того, как решил её аналитически(это тривиально). Интересно было бы геометрическое решение :-)

Я неточно воспринял условие и его соответственно набил тут :-) :-(
В книжке сказано так: "ракета управляется так, что всё время находится на прямой центр-самолёт". Для меня это было так, что её скорость направлена на самолёт :-(
Прошу прощения :-(
номер сообщения: 49-2-1681

424

Quantrinas

Любитель
НН / R

09.03.2009 | 06:55:49

все его сообщения:
за день, за месяц,
за все время
Если "на прямой" то вроде проще решается. Хотя нет, со скоростью ещё проще.

__________________________
Audiatur et altera pars
номер сообщения: 49-2-1682

425

MikhailK

1 разряд

09.03.2009 | 11:39:25
Email

все его сообщения:
за день, за месяц,
за все время
iourique:
MikhailK: Эх, а я всё ещё ломаю голову решая задачу iourique о шариках в мешке. После длительной паузы снова на неё набросился и даже имеется некоторое продвижение. В этой задаче у меня начали появляться разные алгебраические структуры, что позволило мне серьезно напрячь знакомых алгебраистов. Посмотрим что они скажут.


Любопытно - расскажите, что получится/получается. Может, статью напишем .

Обошелся без алгебраистов . Ответ получился (N-1)*(N-1), где N - число шаров в мешке. Решение у меня получилось не очень короткое, но идеологически простое.

Интересно, что скажут алгебраисты. Завтра узнаю.

Добавлено.

Как обычно бывает, математики помочь не смогли. Хотя польза от них несомненно есть. После обсуждения с ними задачи у меня появилось несколько идей, которые и позволили добить задачу.
номер сообщения: 49-2-1683

426

LatchezarS

2200
Бургас

16.03.2009 | 16:30:40
Email

все его сообщения:
за день, за месяц,
за все время
Grigoriy:
Grigoriy: Самолёт-разведчик летает по кругу радиусом 200 км со скоростью 1000 км/час. Из центра круга вылетает ракета с той же скоростью, всё время направленная на самолёт. Как скоро она поразит самолёт?
Задача забавна "ответом". Но я его увидел только после того, как решил её аналитически(это тривиально). Интересно было бы геометрическое решение :-)

Я неточно воспринял условие и его соответственно набил тут :-) :-(
В книжке сказано так: "ракета управляется так, что всё время находится на прямой центр-самолёт". Для меня это было так, что её скорость направлена на самолёт :-(
Прошу прощения :-(

С ТАКОЙ РАКЕТОЙ...И ОПЕРАТОРОМ
Чтобь/ вообшюще поразит самолета (V ракеть/= Vсамолета = 1000 км/ч ;R окружности = 200 km)оператор должен запустит ракету с углом опережения 5,324 градуса и держат курс ракеть/ строго по радиусу .
Как опрделилис зти 57.324 градуса?
Ракета должна переодолет минимум 200 км до самолета,следовательно время подлета 12 мин . (200 : 1000)х 60 = 12 мин
За зто время (12 мин) самолет передвинется по дуге на 57.324 градусов ((200х2)х3,14):200 = 6.28
360:6.28 = 57.324 градусов
Так что , задача имеет однозначний ответ - оператор дурак и он самолет не поразит никогда.
номер сообщения: 49-2-1688

427

Roger

16.03.2009 | 17:15:54

все его сообщения:
за день, за месяц,
за все время
Лачезар, из условий задачи не следует, что самолёт всё время летит в одну и ту же сторону.
номер сообщения: 49-2-1689

428

Grigoriy

16.03.2009 | 19:10:41

все его сообщения:
за день, за месяц,
за все время
номер сообщения: 49-2-1690

429

LatchezarS

2200
Бургас

16.03.2009 | 19:44:11
Email

все его сообщения:
за день, за месяц,
за все время
Roger: Лачезар, из условий задачи не следует, что самолёт всё время летит в одну и ту же сторону.

Роджер,разве самолет...НЛО? ...Такие задачки .
Дед говорил " Люди не одинаковь/е ,умнь/е,дураки и одна особая группа - на-ученнь/е.Так что читай ,но и хорошо думай сам!"
номер сообщения: 49-2-1699

430

Pirron

16.03.2009 | 19:47:55

все его сообщения:
за день, за месяц,
за все время
Grigoriy:

Интересно, кто это такой? Похоже на кошачью морду без ушей.
номер сообщения: 49-2-1700

431

Grigoriy

16.03.2009 | 19:54:47

все его сообщения:
за день, за месяц,
за все время
Пиррон, это всё-таки превьюшка. Посмотрите картинку.
номер сообщения: 49-2-1701

432

Roger

16.03.2009 | 20:49:04

все его сообщения:
за день, за месяц,
за все время
LatchezarS: Роджер,разве самолет...НЛО?

Хуже того - он разведчик. Ну и вообще ракет боится очень.
номер сообщения: 49-2-1702

433

LatchezarS

2200
Бургас

17.03.2009 | 11:37:54
Email

все его сообщения:
за день, за месяц,
за все время
Grigoriy:
Grigoriy: Самолёт-разведчик летает по кругу радиусом 200 км со скоростью 1000 км/час. Из центра круга вылетает ракета с той же скоростью, всё время направленная на самолёт. Как скоро она поразит самолёт?
Задача забавна "ответом". Но я его увидел только после того, как решил её аналитически(это тривиально). Интересно было бы геометрическое решение :-)

Я неточно воспринял условие и его соответственно набил тут :-) :-(
В книжке сказано так: "ракета управляется так, что всё время находится на прямой центр-самолёт". Для меня это было так, что её скорость направлена на самолёт :-(
Прошу прощения :-(


Чтобь/ все бь/ло ясно:
Задача:
" Оператор А двигает (туда-сюда) солнечнь/й зайчик строго по кругу с радиусом 200 мет, с постоянной скоростю 1000 мет/мин.
Оператор В начинает двигат свой солнечнь/й зайчик из центра круга с такой же постоянной скоростью - 1000 мет/мин.Оператор В должен вести свой зайчик так, что центр и солнечнь/е зайчики всегда
находились на одной прямой линии.
Оператор В побеждает если зайчик-В накроет зайчик-А,если нет - проигрь/вает.
п.п.
Наблюдение, контроль и констатация факта накрития зайчиков ,осуществляет астроном С - с 25-сантиметровым рефлектором используя увеличения 76х215; и 214х215; и спектрометром для измерения блеска зайчиков.
Кто победит??"
Так или не так? Что еще надо уточнит ?
номер сообщения: 49-2-1703

434

LatchezarS

2200
Бургас

17.03.2009 | 16:28:46
Email

все его сообщения:
за день, за месяц,
за все время
iourique: Вброшу еще задачку ...
В мешке лежит несколько шаров, выкрашенных в разные цвета (изначально, все шары - разного цвета). За ход мы наугад вытаскиваем шар из мешка, затем (не возвращая первый шар в мешок), вытаскиваем второй шар и перекрашиваем его в цвет первого. После этого оба шара кладутся обратно в мешок, мешок встряхивается (энергично) и все по новой. Вопрос: в среднем за сколько шагов все шары будут перекрашены в один цвет?
примеры:
1 шар - 0 шагов.
2 шара - 1 шаг.
3 шара - 4 шага (после первого имеем два одноцветных шара и третий другого цвета. вероятность перекрасить третий за один шаг - 1/3, соответственно в среднем нужно еще 3 шага).
Ответ в общем случае уже можно угадать . Доказать тоже можно, но ничего убедительного я не нашел.

IOURIGUE , заключение- "3 шара - 4 шага (после первого имеем два одноцветных шара и третий другого цвета. вероятность перекрасить третий за один шаг - 1/3, СООТВЕТСТВЕННО В СРЕДНЕМ НУЖНО ЕЩЕ 3 ШАГА)." - абсолютно неверно.
Почему?
Пусть 3 шара окрашеннь/ в цветов россиского флага.

После первого шага/перкрашивания имеем в мешке со 100% вероятностю окрашеност 1 1 2.
(1 - белое,синьее или красное ; 2 - раличное от 1)
В процесе второго перекрашивания возможно:
а) - с вероятность 2/3 вь/таскиваем шар окраской 1.
дальше
с вероятность 1/2 вь/таскиваем шар с окраской 2 - задача решена - вероятность зтого равна
2/3 х 1/2 = 1/3
с вероятность 1/2 вь/таскиваем шар тоже с окраской 1,"перекрашиваем" опять в 1-ДЛЯ ВЬ/ПОЛНЕНИЯ УСЛОВИИ ЗАДАЧИ ! Следовательно с вероятностью 2/3 х 1/2 = 1/3 НЕ ОКРАСИМ ШАРИКИ ОДИНАКОВО :
Wa(неокрашивания шаров одинаково в случаем а) = 1/3
б) - с вероятность 1/3 можем вь/ташит шар с цветом 2.Тогда после всех остальньих действии окраска
шариков будет неодинакова - 1 2 2.И В ЗТОМ СЛУЧАЕ НЕ ОКРАСИМ ШАРИКИ ОДИНАКОВО с вероятностью
1/3 х 1 = 1/3. Следовательно
Wб(неокрашивания шаров одинаково в случаем б)= 1/3.
Сумма вероятностей Wa + Wб = 1/3 + 1/3 = 2/3 = W2 верояъность неокрашивания шаров одинаково
после 2 шага.
Что дальше?
Все повторяется точь в точь - конечьно имеем ввиду только зти 66.66% случаев где после второго шага/окрашивания ситуация не изменилас - в мешке опять шарики 1 1 2(или 1 2 2 - фактически одно и тоже ).
Тогда W3 (вероятность неокрашивания шариков одинаково после 3 шага)= W2 х 2/3 = 4/9
W4 (вероятность неокрашивания шариков одинаково после 4 шага)= W3 х 2/3 = 8/27СЛЕДОВАТЕЛЬНО ЗА 4 ШАГА/ПЕРЕКРАШЬ/ВАНИЯ МОЖЕМ БЬ/ТЬ УВЕРЕНЬ/,ЧТО ВСЕ 3 ШАРИКА ОКРАШЕНЬ/ ОДИНАКОВО
ТОЛЬКО НА 70.37% Точнее 100(1 - 8/27)%.
Общая формула (мь/ сейчас ее вь/вели ,смотрите вверх)
(n -1)
2
Wn = ---------- вероятность неокрашивания 3 шариков одинаково после n шагов
(n -1)
3
Так что для вь/полнения задания о одинаковой окраски 3 шариков с вероятностю p > 99 % , ( процент и не так уж большой если заложили свою жизнь! ), нужнь/ минимум 12 шагов!

p = 100 х( 1 - Wn) если n=12,то p = 100 ( 1 - 4096 : 531447)= 99.22 % что > 99 %.

А общая задача о N шариков в мешке...и т.д. зто сл-о-о-ожная вещь! Ответит можно , но как говорил Чапаев "- Пахнет литром,но доказать не могу!"
Давайте лучьше посмотреть на "Амбер 2009".
номер сообщения: 49-2-1704

435

iourique

18.03.2009 | 23:52:10

все его сообщения:
за день, за месяц,
за все время
LatchezarS: IOURIGUE , заключение- "3 шара - 4 шага (после первого имеем два одноцветных шара и третий другого цвета. вероятность перекрасить третий за один шаг - 1/3, СООТВЕТСТВЕННО В СРЕДНЕМ НУЖНО ЕЩЕ 3 ШАГА)." - абсолютно неверно.

Так что для вь/полнения задания о одинаковой окраски 3 шариков с вероятностю p > 99 % ...

Разные вещи.
номер сообщения: 49-2-1705

436

iourique

18.03.2009 | 23:55:23

все его сообщения:
за день, за месяц,
за все время
MikhailK:
iourique:
MikhailK: Эх, а я всё ещё ломаю голову решая задачу iourique о шариках в мешке. После длительной паузы снова на неё набросился и даже имеется некоторое продвижение. В этой задаче у меня начали появляться разные алгебраические структуры, что позволило мне серьезно напрячь знакомых алгебраистов. Посмотрим что они скажут.


Любопытно - расскажите, что получится/получается. Может, статью напишем .

Обошелся без алгебраистов . Ответ получился (N-1)*(N-1), где N - число шаров в мешке. Решение у меня получилось не очень короткое, но идеологически простое.

Интересно, что скажут алгебраисты. Завтра узнаю.

Добавлено.

Как обычно бывает, математики помочь не смогли. Хотя польза от них несомненно есть. После обсуждения с ними задачи у меня появилось несколько идей, которые и позволили добить задачу.


MikhailK, мое решение было не вполне удовлетворительным - я угадал формулу для произвольного распределения цветов, а потом доказал ее. Не пришлете свое решение (если не хотите здесь, можно по емайлу: volvovskiy at yahoo dot com)?
номер сообщения: 49-2-1706

437

MikhailK

1 разряд

19.03.2009 | 10:18:57
Email

все его сообщения:
за день, за месяц,
за все время
iourique:
MikhailK, мое решение было не вполне удовлетворительным - я угадал формулу для произвольного распределения цветов, а потом доказал ее. Не пришлете свое решение (если не хотите здесь, можно по емайлу: volvovskiy at yahoo dot com)?

ОК, в выходные приготовлю решение. Вчера у меня появились в этой задаче любопытные соотношения, но, к сожалению, ничего нового они не принесли.
номер сообщения: 49-2-1707

438

iourique

19.03.2009 | 14:47:13

все его сообщения:
за день, за месяц,
за все время
MikhailK: ОК, в выходные приготовлю решение. Вчера у меня появились в этой задаче любопытные соотношения, но, к сожалению, ничего нового они не принесли.


Спасибо.
номер сообщения: 49-2-1708

439

MikhailK

1 разряд

19.03.2009 | 23:37:00
Email

все его сообщения:
за день, за месяц,
за все время
iourique:
MikhailK: ОК, в выходные приготовлю решение. Вчера у меня появились в этой задаче любопытные соотношения, но, к сожалению, ничего нового они не принесли.


Спасибо.


iourique: Вброшу еще задачку ...
В мешке лежит несколько шаров, выкрашенных в разные цвета (изначально, все шары - разного цвета). За ход мы наугад вытаскиваем шар из мешка, затем (не возвращая первый шар в мешок), вытаскиваем второй шар и перекрашиваем его в цвет первого. После этого оба шара кладутся обратно в мешок, мешок встряхивается (энергично) и все по новой. Вопрос: в среднем за сколько шагов все шары будут перекрашены в один цвет?
примеры:
1 шар - 0 шагов.
2 шара - 1 шаг.
3 шара - 4 шага (после первого имеем два одноцветных шара и третий другого цвета. вероятность перекрасить третий за один шаг - 1/3, соответственно в среднем нужно еще 3 шага).
Ответ в общем случае уже можно угадать . Доказать тоже можно, но ничего убедительного я не нашел.


Готово. Что-то длинное решение у меня получилось. Пять страниц выкладок.

Решение в формате HTML
Решение в формате PDF
номер сообщения: 49-2-1710

440

Roger

19.03.2009 | 23:40:29

все его сообщения:
за день, за месяц,
за все время
MikhailK:
Решение в формате HTML
Решение в формате PDF

Осталось узнать, где этот file:///home/
PS А всё-равно не работает - сервер не отвечает
номер сообщения: 49-2-1711

441

MikhailK

1 разряд

19.03.2009 | 23:44:54
Email

все его сообщения:
за день, за месяц,
за все время
Roger:
MikhailK:
Решение в формате HTML
Решение в формате PDF

Осталось узнать, где этот file:///home/

Шустрый какой. Я эту ошибку исправил в течении 30 секунд.

Все работает!
номер сообщения: 49-2-1712

442

Roger

19.03.2009 | 23:54:41

все его сообщения:
за день, за месяц,
за все время
MikhailK: Все работает!

Да, это я случайно смотрел с IP адреса одного университета. От него весь Ваш домен не виден - то ли с конкурентами борются, то ли с ересью.
номер сообщения: 49-2-1713

443

MikhailK

1 разряд

19.03.2009 | 23:56:56
Email

все его сообщения:
за день, за месяц,
за все время
Roger:
MikhailK: Все работает!

Да, это я случайно смотрел с IP адреса одного университета. От него весь Ваш домен не виден - то ли с конкурентами борются, то ли с ересью.

с ересью, с ересью
номер сообщения: 49-2-1714

444

MikhailK

1 разряд

20.03.2009 | 12:35:29
Email

все его сообщения:
за день, за месяц,
за все время
MikhailK:
Готово. Что-то длинное решение у меня получилось. Пять страниц выкладок.

Решение в формате HTML
Решение в формате PDF


Посмотрел я сейчас свежим взглядом свой вчерашний текст и сразу нашел несколько досадных мелких опечаток. По ссылкам теперь исправленная версия.
номер сообщения: 49-2-1715

445

iourique

20.03.2009 | 16:14:33

все его сообщения:
за день, за месяц,
за все время
MikhailK:
MikhailK:
Готово. Что-то длинное решение у меня получилось. Пять страниц выкладок.

Решение в формате HTML
Решение в формате PDF


Посмотрел я сейчас свежим взглядом свой вчерашний текст и сразу нашел несколько досадных мелких опечаток. По ссылкам теперь исправленная версия.


Спасибо. Сурово - долго прорубался. Решение более логично (и соответственно лучше), чем мое - ничего не надо угадывать, хотя основной недостаток (?) тот же: ответ существенно проще, чем выкладки, остается ощущение необъясненности происходящего. Надо еще подумать.
номер сообщения: 49-2-1716

446

MikhailK

1 разряд

20.03.2009 | 22:28:58
Email

все его сообщения:
за день, за месяц,
за все время
iourique:
MikhailK:
MikhailK:
Готово. Что-то длинное решение у меня получилось. Пять страниц выкладок.

Решение в формате HTML
Решение в формате PDF


Посмотрел я сейчас свежим взглядом свой вчерашний текст и сразу нашел несколько досадных мелких опечаток. По ссылкам теперь исправленная версия.


Спасибо. Сурово - долго прорубался. Решение более логично (и соответственно лучше), чем мое - ничего не надо угадывать, хотя основной недостаток (?) тот же: ответ существенно проще, чем выкладки, остается ощущение необъясненности происходящего. Надо еще подумать.

Я прикинул и у меня получилось, что высшие моменты числа перекрашиваний уже не будут описываться столь простой формулой. В случае второго момента возникают суммы от 1/(k*k), где k пробегает от 1 до N.

Интересно, а как ведет себя величина (1-p_k) при больших k? У меня есть формула для p_k в виде конечного куска знакопеременного ряда, но по ней затруднительно сделать эту оценку.
номер сообщения: 49-2-1717

447

Roger

20.03.2009 | 22:37:17

все его сообщения:
за день, за месяц,
за все время
Я бы назвал процесс перекраски шариков "дискретным броуновским движением"
номер сообщения: 49-2-1718

448

iourique

21.03.2009 | 00:19:02

все его сообщения:
за день, за месяц,
за все время
MikhailK: Интересно, а как ведет себя величина (1-p_k) при больших k? У меня есть формула для p_k в виде конечного куска знакопеременного ряда, но по ней затруднительно сделать эту оценку.


Если я нигде не проврался, то из Ваших формул следует, что (1-p_k) асимптотически стремится к 3(N-2)/N * (1 - 2/(N(N-1)))^(k-1).
номер сообщения: 49-2-1719

449

MikhailK

1 разряд

21.03.2009 | 09:56:23
Email

все его сообщения:
за день, за месяц,
за все время
iourique:
MikhailK: Интересно, а как ведет себя величина (1-p_k) при больших k? У меня есть формула для p_k в виде конечного куска знакопеременного ряда, но по ней затруднительно сделать эту оценку.


Если я нигде не проврался, то из Ваших формул следует, что (1-p_k) асимптотически стремится к 3(N-2)/N * (1 - 2/(N(N-1)))^(k-1).

А у меня получается
3(N-1)/(N+1)*(1 - 2/(N(N-1)))^(k-1)
Свой вывод я поместил в дополнение 4.
номер сообщения: 49-2-1720

450

iourique

26.03.2009 | 18:43:38

все его сообщения:
за день, за месяц,
за все время
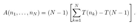
Мое решение выглядит так: пусть A(n_1, n_2,..,n_N)- число шагов, требуемое для перекраски n_1 шариков цвета 1, n_2 шариков цвета 2, и т.д. в один цвет. Тогда

Здесь используется обозначение

Формула угадана наблюдением за случаем 6 шариков . Доказательство очень просто - проверить, что А удовлетворяет системе линейных уравнений. В частности, А(1,1,...,1)=(N-1)*(N-1).
номер сообщения: 49-2-1721

451

MikhailK

1 разряд

26.03.2009 | 19:04:19
Email

все его сообщения:
за день, за месяц,
за все время
iourique:
Здесь используется обозначение


А почему индекс i не встречается под знаком суммы?

Интересно, а как твое общее решение можно получить в рамках моего подхода?
номер сообщения: 49-2-1722