ChessPro online

Забавные задачки и головоломки

вернуться в форум

30.09.2007 | 20:54:28

Главная  -  Поговорим?  -  Наука

962

iourique

07.09.2010 | 18:05:18

все его сообщения:
за день, за месяц,
за все время
Хайдук: Юрик, почему называем сумму двоек ПОЛУинвариантом?

Я вроде бы объяснил. Инвариант преобразований - это величина, которая при этих преобразованиях не меняется. Мы же ищем величину, которая меняется, но контролируемо - в данном случае возрастает. Такие величины называются полуинвариантами.
номер сообщения: 49-2-3597

963

Хайдук

08.09.2010 | 05:15:37

все его сообщения:
за день, за месяц,
за все время
Thanks
номер сообщения: 49-2-3598

964

iourique

08.09.2010 | 05:42:03

все его сообщения:
за день, за месяц,
за все время
De nada
номер сообщения: 49-2-3599

965

iourique

17.09.2010 | 21:44:28

все его сообщения:
за день, за месяц,
за все время
Чего-то народ совсем перестал обсуждать - я тут такую смешную задачу подкидывал и хоть бы слово кто сказал.

Еще немного подумал про задачу Игоря - там оценка, кажется, может быть улучшена до n^{1/2} ln n, но как-то сложно получается.
номер сообщения: 49-2-3617

966

MikhailK

1 разряд
Москва

17.09.2010 | 21:50:47
Email

все его сообщения:
за день, за месяц,
за все время
iourique: Чего-то народ совсем перестал обсуждать - я тут такую смешную задачу подкидывал и хоть бы слово кто сказал.

Я честно думал о задаче некоторое время, но в голову лезли только глупые мысли. Потом уехал на конференцию и совсем забыл о бедных заключенных.
номер сообщения: 49-2-3618

967

Хайдук

18.09.2010 | 11:23:09

все его сообщения:
за день, за месяц,
за все время
iourique: Чего-то народ совсем перестал обсуждать - я тут такую смешную задачу подкидывал и хоть бы слово кто сказал.

У Кванта смешную задачку эту как-будто давно решили на ветке Математика для чайников
номер сообщения: 49-2-3620

968

Игорь

05.10.2010 | 01:53:36

все его сообщения:
за день, за месяц,
за все время
iourique: Чего-то народ совсем перестал обсуждать - я тут такую смешную задачу подкидывал и хоть бы слово кто сказал.

Еще немного подумал про задачу Игоря - там оценка, кажется, может быть улучшена до n^{1/2} ln n, но как-то сложно получается.


Ну, это серьезное улучшение, просто оно и не могло получится. А как, если не секрет?

П.С. извиняюсь, что не принимаю участие. Просто не хватает ни времени, ни сил.

__________________________
ИМХО
номер сообщения: 49-2-3626

969

iourique

05.10.2010 | 17:30:29

все его сообщения:
за день, за месяц,
за все время
Игорь:
iourique: Чего-то народ совсем перестал обсуждать - я тут такую смешную задачу подкидывал и хоть бы слово кто сказал.

Еще немного подумал про задачу Игоря - там оценка, кажется, может быть улучшена до n^{1/2} ln n, но как-то сложно получается.


Ну, это серьезное улучшение, просто оно и не могло получится. А как, если не секрет?

Я не до конца продумал, но как-то так. Ваша оценка дает Х log N, где Х - размер меньшей кучки, N - общее количество монет. Теперь смотрим на алгоритм внимательно - мы начинаем с тройки (X, kX-s, mX-p), которая переходит в тройку (Х-s, 2^q X, Z).
Наблюдение 1: k мало по сравнению с Х, иначе kX имеет порядок Х^2, а значит Х = N^{1/2}, читд.
Наблюдение 2: s должно быть мало по сравнению с Х, иначе мы очень быстро спускаемся.
Наблюдение 3: 2^q приблизительно равно k, так что 2^q X = 2^q (X - s) + 2^q s = 2^q(Х - s) + ks. Опять же, ks должно давать большой остаток по модулю X-s, иначе мы быстро опускаемся на следующем шаге, а значит ks сравнимо с Х.

Таким образом, общее число монет имеет порядок kX, спуск осуществляется не за Х, а за Х/s шагов и общая скорость алгоритма Х/s log N = N/(ks) log N = N/X log N. Меньшее из чисел X log N и N/X log N имеет порядок N^{1/2} log N.

Я проехал пару деталей, как минимум. Например, на втором шаге Z может оказаться меньше, чем 2^q X, и нам надо будет интересоваться остатком Z при делении на X-s. Но это вроде бы нестрашно, так как монетки из третьей кучки можно поперекидывать во вторую, пока они примерно не сравняются, а тогда видно, что оба остатка должны быть большие.

Довольно расплывчато, но сил доводить до конца нет.
номер сообщения: 49-2-3631

970

iourique

05.10.2010 | 17:32:59

все его сообщения:
за день, за месяц,
за все время
MikhailK:
iourique: Чего-то народ совсем перестал обсуждать - я тут такую смешную задачу подкидывал и хоть бы слово кто сказал.

Я честно думал о задаче некоторое время, но в голову лезли только глупые мысли. Потом уехал на конференцию и совсем забыл о бедных заключенных.

Давайте я ответ подскажу, что ли - может, заинтригую. Итак: вероятность спастись - 1.
номер сообщения: 49-2-3632

971

Хайдук

05.10.2010 | 19:21:49

все его сообщения:
за день, за месяц,
за все время
Игорь: Просто не хватает ни времени, ни сил.

Чем тусуемсо, если не секрет?
номер сообщения: 49-2-3633

972

Игорь

05.10.2010 | 20:38:08

все его сообщения:
за день, за месяц,
за все время
iourique:
MikhailK:
iourique: Чего-то народ совсем перестал обсуждать - я тут такую смешную задачу подкидывал и хоть бы слово кто сказал.

Я честно думал о задаче некоторое время, но в голову лезли только глупые мысли. Потом уехал на конференцию и совсем забыл о бедных заключенных.

Давайте я ответ подскажу, что ли - может, заинтригую. Итак: вероятность спастись - 1.


Если Вы -1 имели в виду, то я намек понял
На самом деле как раз вспоминал о свойствах перестановок, я думаю есть не одно подходяшее, но Вами подсказанное не оставляет сомнений.

__________________________
ИМХО
номер сообщения: 49-2-3634

973

Игорь

05.10.2010 | 20:38:32

все его сообщения:
за день, за месяц,
за все время
Хайдук:
Игорь: Просто не хватает ни времени, ни сил.

Чем тусуемсо, если не секрет?


Работаем. Время иногда бывает, а сил совсем нет.

__________________________
ИМХО
номер сообщения: 49-2-3635

974

Хайдук

06.10.2010 | 18:31:23

все его сообщения:
за день, за месяц,
за все время
Возненавидел думать и потому намерен спросить у Дорона Зейлбергера не найдётся ли у него решения задачки про библиотекаря в общем случае, когда можно ставить на место любую книгу
номер сообщения: 49-2-3636

975

Roger

06.10.2010 | 19:19:45

все его сообщения:
за день, за месяц,
за все время
Не подскажет ли кто-нибудь формулу для объёма сегмента шара, вырезанного двумя перпендикулярными плоскостями? А то у меня что-то интегралы с ходу не берутся...
номер сообщения: 49-2-3637

976

jenya

06.10.2010 | 20:00:04

все его сообщения:
за день, за месяц,
за все время
Roger: Не подскажет ли кто-нибудь формулу для объёма сегмента шара, вырезанного двумя перпендикулярными плоскостями? А то у меня что-то интегралы с ходу не берутся...

В Бронштейне-Семендяеве есть только сектор, сегмент и слой, они там высекают параллельными плоскостями... А как проходит вторая плоскость? Скажем, первая отсекает от шара шляпку, а вторая делит эту шлапку на два куска перпендикулярно основанию?
номер сообщения: 49-2-3638

977

Roger

06.10.2010 | 20:08:58

все его сообщения:
за день, за месяц,
за все время
Ну да, типа плоскости взаимно-перпендикулярны.
номер сообщения: 49-2-3639

978

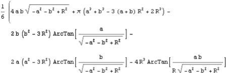
iourique

06.10.2010 | 20:39:30

все его сообщения:
за день, за месяц,
за все время
номер сообщения: 49-2-3640

979

Roger

06.10.2010 | 22:55:48

все его сообщения:
за день, за месяц,
за все время
Thanks
Сегодня сравню с численным интегралом.
номер сообщения: 49-2-3641

980

MikhailK

1 разряд
Москва

06.10.2010 | 23:08:34
Email

все его сообщения:
за день, за месяц,
за все время
jenya:
В Бронштейне-Семендяеве ....

У меня сохранился Бронштейн-Семендяев моего деда напечатанный на тончайшей бумаге (издание 53 года). Любопытно было его в школе листать. Многое было непонятно, но жутко интересно.

Несколько лет назад видел на полках в магазине новое издание, так оно раза в два больше моего из-за разной толщины бумаги.
номер сообщения: 49-2-3642

981

MikhailK

1 разряд
Москва

07.10.2010 | 08:33:37
Email

все его сообщения:
за день, за месяц,
за все время
iourique:
MikhailK:
iourique: Чего-то народ совсем перестал обсуждать - я тут такую смешную задачу подкидывал и хоть бы слово кто сказал.

Я честно думал о задаче некоторое время, но в голову лезли только глупые мысли. Потом уехал на конференцию и совсем забыл о бедных заключенных.

Давайте я ответ подскажу, что ли - может, заинтригую. Итак: вероятность спастись - 1.


Ура, я свободен! Я решил эту задачу наконец.

iourique: В тюрьме сидит 100 заключенных. В один прекрасный день им объявляют, что сегодня вечером, после того, как их разведут по их одиночным камерам, им выдадут по два колпака, белый и черный, а завтра с утра они должны будут надеть один из колпаков, после чего их выведут на плац и расставят в шеренгу в уже определенном начальником тюрьмы порядке. Если окажется, что цвета колпаков строго чередуются (б-ч-б-ч-.. или ч-б-ч-б...), их всех отпустят. Одновременно с раздачей колпаков каждому из них расскажут, в каком порядке будут расставлены все остальные, но не сообщат его место в шеренге. До заката у заключенных есть время посовещаться и выработать общую стратегию. Какой она должна быть?


Думаю, что можно уже озвучить решение. Мудрецам следует выбрать какую-нибудь расстановку на плацу. Обозначим её через P. Когда мудрец узнаёт расстановку остальных, то ему следует поставить себя в самое начало этой расстановки и посчитать четность перестановки по отношению к расстановке P. В зависимости от четности и следует выбирать колпак.

Самое обидное, что до фиксирования некоторой произвольной расстановки и о том, что цвет колпака должен зависень от четности какой-то перестановки я сразу догадался, но никак не мог придумать применение этому.
номер сообщения: 49-2-3643

982

Хайдук

07.10.2010 | 19:22:47

все его сообщения:
за день, за месяц,
за все время
Михаил, а проверили решения у Кванта? Я не в курсе, но там вроде давно разобрались
номер сообщения: 49-2-3644

983

iourique

07.10.2010 | 19:34:21

все его сообщения:
за день, за месяц,
за все время
А чего их проверять? Сами разберутся - не маленькие, чай.

Меня в задачке очень порадовал контраст между ощущением безнадежности, возникающим с первого взгляда, и простотой решения.
номер сообщения: 49-2-3645

984

MikhailK

1 разряд
Москва

07.10.2010 | 19:42:51
Email

все его сообщения:
за день, за месяц,
за все время
Хайдук: Михаил, а проверили решения у Кванта? Я не в курсе, но там вроде давно разобрались

Про тамошнее решение я слышал, но ссылку-то ведь никто не дал.

Мне подкинули школьных олимпиадных задачек. Меня заинтересовала одна. Условие опубликую тут после 10 октября, когда истечёт срок подачи решений.
номер сообщения: 49-2-3646

985

MikhailK

1 разряд
Москва

07.10.2010 | 19:45:48
Email

все его сообщения:
за день, за месяц,
за все время
iourique: А чего их проверять? Сами разберутся - не маленькие, чай.

Меня в задачке очень порадовал контраст между ощущением безнадежности, возникающим с первого взгляда, и простотой решения.

Ага, будь я тем мудрецом, не выжил бы.

iourique:В один прекрасный день им объявляют, что сегодня вечером, после того, как их разведут по их одиночным камерам, им выдадут по два колпака, белый и черный, а завтра с утра

Мне понадобилось больше месяца, а мудрецы должны были управиться за несколько часов.
номер сообщения: 49-2-3647

986

Roger

08.10.2010 | 03:33:06

все его сообщения:
за день, за месяц,
за все время
А я ещё даже и не начинал.
номер сообщения: 49-2-3648

987

MikhailK

1 разряд
Москва

08.10.2010 | 08:23:12
Email

все его сообщения:
за день, за месяц,
за все время
Roger: А я ещё даже и не начинал.


Ой, тогда очень извиняюсь, что раскрыл решение.
номер сообщения: 49-2-3649

988

iourique

08.10.2010 | 19:42:44

все его сообщения:
за день, за месяц,
за все время
Еще задачка с того же сайта. Эта выглядит чистым безумием, у меня никаких идей, как ее решать. Вкратце:
А и В получают по подмножеству чисел от 1 до n. Им надо установить, пересекаются ли их подмножества. Они могут обменяться конечным (не зависящим от n) количеством информации, плюс у них есть доступ к компьютеру. Компьютер умеет делать одну единственную вещь - получив некоторую перестановку чисел от 1 до n от А и от В, он вычисляет их композицию и возвращает 1, если она состоит из одного цикла, и 0 в обратном случае. Причем делает это компьютер один-единственный раз, после чего выключается. Смогут ли А и В составить протокол, гарантирующий им успех?
номер сообщения: 49-2-3650

989

jenya

08.10.2010 | 19:55:55

все его сообщения:
за день, за месяц,
за все время
MikhailK:
jenya:
В Бронштейне-Семендяеве ....

У меня сохранился Бронштейн-Семендяев моего деда напечатанный на тончайшей бумаге (издание 53 года). Любопытно было его в школе листать. Многое было непонятно, но жутко интересно.

Несколько лет назад видел на полках в магазине новое издание, так оно раза в два больше моего из-за разной толщины бумаги.

Собственно, теща моего тестя была замужем за Семендяевым, они прожили вместе последние лет сорок.
номер сообщения: 49-2-3651

990

Salut

08.10.2010 | 20:26:46

все его сообщения:
за день, за месяц,
за все время
iourique: Еще задачка с того же сайта. Эта выглядит чистым безумием, у меня никаких идей, как ее решать. Вкратце:
А и В получают по подмножеству чисел от 1 до n. Им надо установить, пересекаются ли их подмножества. Они могут обменяться конечным (не зависящим от n) количеством информации, плюс у них есть доступ к компьютеру. Компьютер умеет делать одну единственную вещь - получив некоторую перестановку чисел от 1 до n от А и от В, он вычисляет их композицию и возвращает 1, если она состоит из одного цикла, и 0 в обратном случае. Причем делает это компьютер один-единственный раз, после чего выключается. Смогут ли А и В составить протокол, гарантирующий им успех?

Выглядит замечательно интересно. Может даже попробую порешать(я давно уже не в форме:-( )
номер сообщения: 49-2-3652

991

zak06

08.10.2010 | 21:40:12

все его сообщения:
за день, за месяц,
за все время
Интересная, но трудная, задача!
Из теории чисел!

Выпишем значения sigma(n) (= сумма всех делителей n, включая 1 и n)
для неск. первых значений n
n:........1,2,3,4,5,.6,7,.8,.9,10,11,12,13,14,15,16,17,18,19,20,...
sigma(n):.1,3,4,7,6,12,8,15,13,18,12,28,14,24,24,31,18,39,20,42,...

(строгие) локальные минимумы sigma(n)
(то-есть sigma(n) < min(sigma(n-1),sigma(n+1)):
n:........5,7,.9,11,13,17,19,...
sigma(n): 6,8,13,12,14,18,20,...


Теперь, внимание, вопрос:
чему равно минимальное n, кратное 10,
такое, что sigma(n) < min(sigma(n-1),sigma(n+1))?

Подсказки:
1. Придумал задачу я сам (хотя кто знает, может, она известна?)!
2. Решение задачи я не знаю!
3. Простой перебор (brute force) ничего не даст!
4. Потом.........

Good luck & thanks,
Zak06
Ashkelon, Israel

__________________________
I love chess
номер сообщения: 49-2-3653