ChessPro online

Забавные задачки и головоломки

вернуться в форум

30.09.2007 | 20:54:28

Главная  -  Поговорим?  -  Наука

1022

MikhailK

1 разряд
Москва

12.10.2010 | 22:54:34
Email

все его сообщения:
за день, за месяц,
за все время
zak06: Если какая-то разность а(к1)-а(к2) равна какой то другой разности
а(к3)-а(к4), то ясно, что могут быть два разных маршрута с одинаковой полной суммой. Это и дает минимальную цену наиболее дорогого билета.

Откровенно говоря, я ничего не понял.
номер сообщения: 49-2-3687

1023

iourique

12.10.2010 | 22:57:29

все его сообщения:
за день, за месяц,
за все время
dimarko:В чем фокус-то, товарищи математики?

Отличное наблюдение. Фокус в том, что пары 1 и 9, 2 и 8, 3 и 7, 4 и 6 будут парами противоположных точек на любом маршруте (включая маршруты коня). А сумма чисел в каждой паре - 10. А любое 8-значное число, у которого суммы 1 и 5 цифры, 2 и 6 цифры, 3 и 7 цифры и 4 и 8 цифры равны, делится на 1111.
номер сообщения: 49-2-3688

1024

zak06

12.10.2010 | 23:21:03

все его сообщения:
за день, за месяц,
за все время
iourique:
dimarko:В чем фокус-то, товарищи математики?

Отличное наблюдение. Фокус в том, что пары 1 и 9, 2 и 8, 3 и 7, 4 и 6 будут парами противоположных точек на любом маршруте (включая маршруты коня). А сумма чисел в каждой паре - 10. А любое 8-значное число, у которого суммы 1 и 5 цифры, 2 и 6 цифры, 3 и 7 цифры и 4 и 8 цифры равны, делится на 1111.

Кстати, всего 384 таких 8-значных чисел из цифр (1,2,3,4,6,7,8,9), кратных 1111:
от 12349876=1111*11116 до 98761234=1111*88894.

__________________________
I love chess
номер сообщения: 49-2-3689

1025

zak06

12.10.2010 | 23:59:17

все его сообщения:
за день, за месяц,
за все время
MikhailK:
zak06: Если какая-то разность а(к1)-а(к2) равна какой то другой разности
а(к3)-а(к4), то ясно, что могут быть два разных маршрута с одинаковой полной суммой. Это и дает минимальную цену наиболее дорогого билета.

Откровенно говоря, я ничего не понял.

Все выяснилось, я решал СОВСЕМ ДРУГУЮ задачу(?!) Сорри...

__________________________
I love chess
номер сообщения: 49-2-3690

1026

iourique

13.10.2010 | 00:51:07

все его сообщения:
за день, за месяц,
за все время
MikhailK: Возможно мы решаем разные задачи, но у меня максимальная стоимость билета равна 221.

Теперь и я получил 221 (2 разными способами), но доказывать как не умел, так и не умею :(
номер сообщения: 49-2-3691

1027

gennah

13.10.2010 | 02:26:19

все его сообщения:
за день, за месяц,
за все время
Навеяло:
http://en.wikipedia.org/wiki/Golomb_ruler
номер сообщения: 49-2-3692

1028

zak06

13.10.2010 | 07:54:41

все его сообщения:
за день, за месяц,
за все время
Sad_Donkey:
iourique:

Ну, что вы... Какие счеты...


А вот теперь, кажется, решил: C(k) > ln k/ln 4.



Думаю, что решили. Честно сказать, мне не хочется "досимвольно" разбираться в том, что вы написали. Но идея и "ключевое неравенство" похожи на то, что было у меня при решении этой задачи. И, надо полагать, соответствуют сути дела... А что с тетраэдром? Эта задача, по характеру, совсем другая. И, на мой взгляд, совершенно замечательная, в некотором отношении...


Не могу разобраться, какой итог обсуждения этой задачи (о сумму цифр числа 2^k, начало сообщение 175), но вот полезная ссылка.

__________________________
I love chess
номер сообщения: 49-2-3693

1029

iourique

13.10.2010 | 16:46:46

все его сообщения:
за день, за месяц,
за все время
gennah: Навеяло:
http://en.wikipedia.org/wiki/Golomb_ruler

Это явно улучшает оценку до 205. Интересно, предел ли это.
номер сообщения: 49-2-3694

1030

gennah

13.10.2010 | 18:08:37

все его сообщения:
за день, за месяц,
за все время
iourique:
gennah: Навеяло:
http://en.wikipedia.org/wiki/Golomb_ruler

Это явно улучшает оценку до 205. Интересно, предел ли это.


Трудно сказать... Вроде минимизировать сумму двух последних чисел в голову пока никому не приходило. Да даже если и приходило, то вряд ли это сильно влияет на сложность задачи. А сложность задачи такова, что ничего шибко умнее тупого перебора (если точнее, ничего умнее Constraint Programming) предложить как-то не получается.

P.S. Мой комп уже три дня пыжится над в чём-то похожей задачкой, и останавливать его я пока не намерен.
номер сообщения: 49-2-3695

1031

MikhailK

1 разряд
Москва

13.10.2010 | 19:15:17
Email

все его сообщения:
за день, за месяц,
за все время
gennah:
iourique:
gennah: Навеяло:
http://en.wikipedia.org/wiki/Golomb_ruler

Это явно улучшает оценку до 205. Интересно, предел ли это.


Трудно сказать... Вроде минимизировать сумму двух последних чисел в голову пока никому не приходило. Да даже если и приходило, то вряд ли это сильно влияет на сложность задачи. А сложность задачи такова, что ничего шибко умнее тупого перебора (если точнее, ничего умнее Constraint Programming) предложить как-то не получается.


Как выяснилось, мой дополнительный вопрос оказался не столь уж дурацким и нечто подобное уже рассматривалось в математике. Узнал о Golomb ruler. Спасибо.

Раз уж пошла столь бурная дискуссия, то я коротко напишу свое решение задачи. Пусть a(i,j) - стоимость билета из пункта i в пункт j. Рассмотрим теперь четыре города i, j, m, n. Соединим города i, j маршрутом содержащим все города, за исключением городов m и n. Этот маршрут можно замкнуть до кругового двумя способами: i-n-m-j и i-m-n-j. Используя свойство независимсти полной стоимости поездки от маршрута получаем соотношение

a(i,n)+a(n,m)+a(m,j)=a(i,m)+a(m,n)+a(n,j)

Так как стоимость билета туда и обратно одинакова, то a(n,m) справа и слева сокращаются

a(i,n)+a(m,j)=a(i,m)+a(n,j)

Отсюда следует, что функция a(i,j) всегда представима в виде (этот шаг доказательства я опускаю, так как элегантного вывода у меня нет)

a(i,j)=d(i)+d(j)

Дальнейшее решение сводится к подбору функции d(i). Я стартовал со значений d(1)=0, d(2)=1. Затем подбирал наименьшее возможное значение для d(3) так, чтобы все стоимости билетов a(i,j) были различными (i,j<4). Затем аналогично подбирал d(4) и так далее до d(13). Такой алгоритм дает следующие значения для d(i)

0 1 2 4 7 12 20 29 38 52 73 94 127

Отсюда максимальная стоимость билета 94+127=221.
номер сообщения: 49-2-3696

1032

iourique

13.10.2010 | 19:32:52

все его сообщения:
за день, за месяц,
за все время
MikhailK:
Отсюда следует, что функция a(i,j) всегда представима в виде (этот шаг доказательства я опускаю, так как элегантного вывода у меня нет)
a(i,j)=d(i)+d(j).

Достаточно положить
d(1)=(a(1,2)+a(1,3)-a(2,3))/2
d(j)=a(1,j)-d(1).
То, что при таком определении a(i,j)=d(i)+d(j), доказывается в две строчки.
номер сообщения: 49-2-3697

1033

iourique

13.10.2010 | 19:42:50

все его сообщения:
за день, за месяц,
за все время
gennah:
iourique:
gennah: Навеяло:
http://en.wikipedia.org/wiki/Golomb_ruler

Это явно улучшает оценку до 205. Интересно, предел ли это.


Трудно сказать... Вроде минимизировать сумму двух последних чисел в голову пока никому не приходило.

Надо еще отметить, что различные разности - более ограничительное условие, чем различные суммы. То есть, 205 получается из неправильной оптимизации более сложной задачи .
номер сообщения: 49-2-3698

1034

gennah

13.10.2010 | 22:33:19

все его сообщения:
за день, за месяц,
за все время
iourique: Надо еще отметить, что различные разности - более ограничительное условие, чем различные суммы. То есть, 205 получается из неправильной оптимизации более сложной задачи .


Нет, ну разности с суммами - это всё же одно и то же. Видимо, вы имеете в виду, что в этих 205 мы ещё берём в расчёт суммы вида a_i + a_i, а это для изначальной задачки немного лишнее.
номер сообщения: 49-2-3699

1035

iourique

13.10.2010 | 22:38:51

все его сообщения:
за день, за месяц,
за все время
gennah:Видимо, вы имеете в виду, что в этих 205 мы ещё берём в расчёт суммы вида a_i + a_i, а это для изначальной задачки немного лишнее.

Именно это.
номер сообщения: 49-2-3700

1036

Grigoriy

14.10.2010 | 06:10:05

все его сообщения:
за день, за месяц,
за все время
Воспоминания о Мехмате - Шафаревич, Арнольд, Новиков ...

http://www.math.ru/lib/files/pdf/mehmat/mm3.pdf
номер сообщения: 49-2-3701

1037

dimarko

14.10.2010 | 12:50:18

все его сообщения:
за день, за месяц,
за все время
iourique:
dimarko:В чем фокус-то, товарищи математики?

Отличное наблюдение. Фокус в том, что пары 1 и 9, 2 и 8, 3 и 7, 4 и 6 будут парами противоположных точек на любом маршруте (включая маршруты коня). А сумма чисел в каждой паре - 10. А любое 8-значное число, у которого суммы 1 и 5 цифры, 2 и 6 цифры, 3 и 7 цифры и 4 и 8 цифры равны, делится на 1111.
Спасибо! Про суммы чисел мог бы и сам догадаться . Не хотел, видимо, по указанным ранее причинам
номер сообщения: 49-2-3702

1038

zak06

16.10.2010 | 17:12:09

все его сообщения:
за день, за месяц,
за все время
А вот у кого есть под рукой Градштейн-Рыжик?
Или где найти его в сети?
Мне нужен параграф с действиями над степенными рядами -
там у меня вопрос к знатокам мат.анализа

А впрочем, можно и так задать.
Там (и во многих других учебниках, справочниках и т.п.)
есть формула возведения степенного ряда в степень n
и подчеркивается, что n - целое число!!
А теперь, внимание, вопрос
а что если n - рациональная дробь?
Мой ответ: формула остается верной!
А Вы как думаете?

__________________________
I love chess
номер сообщения: 49-2-3766

1039

MikhailK

1 разряд
Москва

16.10.2010 | 17:18:29
Email

все его сообщения:
за день, за месяц,
за все время
zak06: А вот у кого есть под рукой Градштейн-Рыжик?
Или где найти его в сети?
Мне нужен параграф с действиями над степенными рядами -
там у меня вопрос к знатокам мат.анализа

Этот кирпич у меня всегда под рукой. В сети наверняка есть.
номер сообщения: 49-2-3767

1040

MikhailK

1 разряд
Москва

16.10.2010 | 17:43:37
Email

все его сообщения:
за день, за месяц,
за все время
zak06:
есть формула возведения степенного ряда в степень n
и подчеркивается, что n - целое число!!
А теперь, внимание, вопрос
а что если n - рациональная дробь?
Мой ответ: формула остается верной!
А Вы как думаете?


Да это же просто как бином Ньютона! Пожалуй никакого отличия быть не должно. Только биномиальные коэффиценты нужно правильно заменить на соответствующие множители составленные из Гамма функций.

А зачем требование рациональности n? Выглядит так, что n вообще может быть любым.

PS В Градштейне-Рыжике написана формула идентичная формуле Power series raised to powers
номер сообщения: 49-2-3768

1041

Игорь

17.10.2010 | 03:09:06

все его сообщения:
за день, за месяц,
за все время
Переполняют чувства в связи с игрой ЧтоГдеКогда. А где такое обсуждается?

__________________________
ИМХО
номер сообщения: 49-2-3796

1042

jenya

17.10.2010 | 04:41:45

все его сообщения:
за день, за месяц,
за все время
Grigoriy: Воспоминания о Мехмате - Шафаревич, Арнольд, Новиков ...

http://www.math.ru/lib/files/pdf/mehmat/mm3.pdf

Задачу номер два у Арнольда (из олимпиады для дошкольников со страницы номер 28) решал минут 15. Минут через 10 придумал решение, опасное для жизни альпиниста (решение встречено диким хохотом всех домашних), я бы лучше на скале остался. А еще через 5 минут задача для дошкольников была решена.
номер сообщения: 49-2-3798

1043

miptus

17.10.2010 | 05:23:36

все его сообщения:
за день, за месяц,
за все время
Игорь: Переполняют чувства в связи с игрой ЧтоГдеКогда. А где такое обсуждается?

здесь
номер сообщения: 49-2-3799

1044

MikhailK

1 разряд
Москва

17.10.2010 | 14:33:24
Email

все его сообщения:
за день, за месяц,
за все время
MikhailK:
zak06:
есть формула возведения степенного ряда в степень n
и подчеркивается, что n - целое число!!
А теперь, внимание, вопрос
а что если n - рациональная дробь?
Мой ответ: формула остается верной!
А Вы как думаете?


Да это же просто как бином Ньютона! Пожалуй никакого отличия быть не должно. Только биномиальные коэффиценты нужно правильно заменить на соответствующие множители составленные из Гамма функций.

А зачем требование рациональности n? Выглядит так, что n вообще может быть любым.

PS В Градштейне-Рыжике написана формула идентичная формуле Power series raised to powers


Запись выражения для коэффициентов степени ряда



в виде рекуррентных соотношений



мне показалась не совсем тривиальной. Мне не сразу удалось придумать простой вывод этого соотношения. Из вывода следует, что степень n может быть совершенно произвольным числом.
номер сообщения: 49-2-3813

1045

zak06

18.10.2010 | 07:53:04

все его сообщения:
за день, за месяц,
за все время
MikhailK:
MikhailK:
zak06:
есть формула возведения степенного ряда в степень n
и подчеркивается, что n - целое число!!
А теперь, внимание, вопрос
а что если n - рациональная дробь?
Мой ответ: формула остается верной!
А Вы как думаете?


Да это же просто как бином Ньютона! Пожалуй никакого отличия быть не должно. Только биномиальные коэффиценты нужно правильно заменить на соответствующие множители составленные из Гамма функций.

А зачем требование рациональности n? Выглядит так, что n вообще может быть любым.

PS В Градштейне-Рыжике написана формула идентичная формуле Power series raised to powers


Запись выражения для коэффициентов степени ряда



в виде рекуррентных соотношений

мне показалась не совсем тривиальной. Мне не сразу удалось придумать простой вывод этого соотношения. Из вывода следует, что степень n может быть совершенно произвольным числом.

Вот моя заметка, в к-й я (и мой со-автор, и рецензент!) не обратили внимания, что формула верна для целых n.
Уже после опубликования я забеспокоился и после некоторых усилий я убедил себя, что я знаю, что она верна и для n вида m/n.
А любопытно увидеть Ваш вывод.
Что касается иррациональных n, то каждый математик, с к-м я пытался обсуждать это, в первую очередь говорил, что он не понимает, что значит ряд в степени pi, тогда как для физика (как я) это вообще не проблема - хоть возводи в степень I -
а кстати, что получится, если возвести самый простой ряд, да хотя бы 1+q+q^2+q^3+..., в степень I?

__________________________
I love chess
номер сообщения: 49-2-3858

1046

zak06

18.10.2010 | 08:53:40

все его сообщения:
за день, за месяц,
за все время
zak06:
...а кстати, что получится, если возвести самый простой ряд, да хотя бы 1+q+q^2+q^3+..., в степень I?

В качестве "оправдания" последнего вопроса (придумал только что!):
Любопытен не порок, а большое свинство(С)


__________________________
I love chess
номер сообщения: 49-2-3859

1047

Хайдук

18.10.2010 | 09:07:31

все его сообщения:
за день, за месяц,
за все время
zak06: что получится, если возвести самый простой ряд, да хотя бы 1+q+q^2+q^3+..., в степень I?

Что такое I, i = (-1)^1/2? А как поднимать бесконечный ряд в любую степень?
номер сообщения: 49-2-3861

1048

zak06

18.10.2010 | 09:18:04

все его сообщения:
за день, за месяц,
за все время
Хайдук:
zak06: что получится, если возвести самый простой ряд, да хотя бы 1+q+q^2+q^3+..., в степень I?

Что такое I, i = (-1)^1/2? А как поднимать бесконечный ряд в любую степень?

А это и есть мой (а теперь и Ваш ) вопрос.

__________________________
I love chess
номер сообщения: 49-2-3862

1049

MikhailK

1 разряд
Москва

18.10.2010 | 15:06:46
Email

все его сообщения:
за день, за месяц,
за все время
zak06: А любопытно увидеть Ваш вывод.

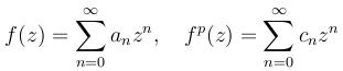
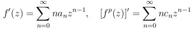
Нет проблем. Пусть функция f(z) и её p-ая степень имеют следующие разложения в ряд

нам необходимо связать между собой коэффициенты в этих разложениях. Для этого рассмотрим также ряды для производных

Теперь необходимые соотношения между коэффициентами получаются, если в элементарное соотношение

подставить выписанные выше разложения и собрать коэффициенты при одинаковых степенях z.


zak06:
Что касается иррациональных n, то каждый математик, с к-м я пытался обсуждать это, в первую очередь говорил, что он не понимает, что значит ряд в степени pi, тогда как для физика (как я) это вообще не проблема - хоть возводи в степень I -
а кстати, что получится, если возвести самый простой ряд, да хотя бы 1+q+q^2+q^3+..., в степень I?


А какая проблема с возведением в произвольную степень? Например, есть такая функция, как экспонента. Вы её также боитесь?

Как известно, выражение a^b (a в степени b) необходимо понимать как e^(b*ln(a)). Так как логарифм является многозначной функцией, то и операция возведения в степень при нецелом b является многозначной. Никакой трагедии я тут не вижу.

Что касается возведения ряда 1+q+q^2+q^3+..., в степень I, то я не вижу, что бы могло помешать использовать приведенные ранее рекуррентные соотношения. Ясно, что при выборе определенной ветви логарифма значения коэффициентов разложения будут обычными комплексными числами. В чем тут проблема?
номер сообщения: 49-2-3871

1050

Хайдук

18.10.2010 | 18:35:02

все его сообщения:
за день, за месяц,
за все время
MikhailK: Как известно, выражение a^b (a в степени b) необходимо понимать как e^(b*ln(a)). Так как логарифм является многозначной функцией, то и операция возведения в степень при нецелом b является многозначной.

Многозначность не всплывает ли только в комплексной области?
номер сообщения: 49-2-3894

1051

MikhailK

1 разряд
Москва

18.10.2010 | 18:45:08
Email

все его сообщения:
за день, за месяц,
за все время
Хайдук:
MikhailK: Как известно, выражение a^b (a в степени b) необходимо понимать как e^(b*ln(a)). Так как логарифм является многозначной функцией, то и операция возведения в степень при нецелом b является многозначной.

Многозначность не всплывает ли только в комплексной области?

Это зависит от личных предпочтений. Дело в том, что натуральный логарифм является многозначной функцией даже для вещественного аргумента. Другое дело, что в случае вещественного и положительного аргумента обычно по умолчанию выбирают ту ветвь, которая дает вещественное значение для логарифма.

В нашем случае удобнее считать иначе и всегда рассматривать логарифм как многозначную функцию. В этом случае никаких проблем с возведением ряда в комплексную степень нет, ну или я их в упор не вижу.
номер сообщения: 49-2-3895