ChessPro online

Забавные задачки и головоломки

вернуться в форум

30.09.2007 | 20:54:28

Главная  -  Поговорим?  -  Наука

1202

jenya

03.01.2012 | 23:52:16

все его сообщения:
за день, за месяц,
за все время
MikhailK: Как я понимаю, носки все разные. Вот в моём ящике лежит много пар носков, но среди них много одинаковых.

Везёт же людям!
номер сообщения: 49-2-5349

1203

iourique

04.01.2012 | 00:07:28

все его сообщения:
за день, за месяц,
за все время
jenya:
MikhailK: Как я понимаю, носки все разные. Вот в моём ящике лежит много пар носков, но среди них много одинаковых.

Везёт же людям!

У меня как-то была идея купить пар 10 одинаковых носков - чтоб зазря не мучаться. А в задаче - таки да, все пары разные.
номер сообщения: 49-2-5350

1204

Roger

04.01.2012 | 00:20:27

все его сообщения:
за день, за месяц,
за все время
А я решал из предположения, что пары одинаковые, а носки есть левые и правые (позор мне, ибо обычно в таких задачах ищут перчатки).
номер сообщения: 49-2-5351

1205

MikhailK

1 разряд
Москва

04.01.2012 | 00:25:49
Email

все его сообщения:
за день, за месяц,
за все время
Roger:носки есть левые и правые

Эстет! Я пока ещё до такого не дошёл.
номер сообщения: 49-2-5352

1206

Roger

04.01.2012 | 00:31:52

все его сообщения:
за день, за месяц,
за все время
В моей задаче ответ получился, вроде, 2+(n-1)/(n+1)

А в "носочной", если я не ошибаюсь, n*(n+3)/(2*(2n-1))
номер сообщения: 49-2-5353

1207

iourique

04.01.2012 | 00:32:27

все его сообщения:
за день, за месяц,
за все время
Roger: А я решал из предположения, что пары одинаковые, а носки есть левые и правые (позор мне, ибо обычно в таких задачах ищут перчатки).

Так тоже неплохо получается, но попроще.
номер сообщения: 49-2-5354

1208

iourique

04.01.2012 | 00:33:16

все его сообщения:
за день, за месяц,
за все время
Roger: В моей задаче ответ получился, вроде, 2+(n-1)/(n+1)

А в "носочной", если я не ошибаюсь, n*(n+3)/(2*(2n-1))

Первое верно, второе - нет.
номер сообщения: 49-2-5355

1209

Roger

04.01.2012 | 00:35:27

все его сообщения:
за день, за месяц,
за все время
Да, щас пересчитаю.

Upd наскоком не получилось
номер сообщения: 49-2-5356

1210

iourique

05.01.2012 | 03:08:31

все его сообщения:
за день, за месяц,
за все время
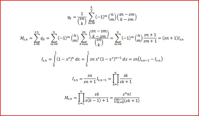
Удалось обобщить задачу на случай многоногих животных, которым нужно не 2 носка, а s, и которым нужно набрать комплект из ящика с n комплектами. Ответ на удивление изящен.

номер сообщения: 49-2-5361

1211

Roger

05.01.2012 | 08:52:28

все его сообщения:
за день, за месяц,
за все время
Вероятно, животные всё же не k-ногие, а s-ногие?
номер сообщения: 49-2-5362

1212

iourique

05.01.2012 | 09:17:47

все его сообщения:
за день, за месяц,
за все время
Roger: Вероятно, животные всё же не k-ногие, а s-ногие?

И впрямь - спасибо, сейчас поправлю.
номер сообщения: 49-2-5363

1213

Roger

05.01.2012 | 09:29:40

все его сообщения:
за день, за месяц,
за все время
Я тут как раз второй вечер подряд пытался сумму укрутить.
номер сообщения: 49-2-5364

1214

LatchezarS

2200
Бургас

05.01.2012 | 10:56:37
Email

все его сообщения:
за день, за месяц,
за все время
iourique: Знакомый поделился со мной задачкой собственного сочинения. Звучит она настолько естественно, что удивительно, как ее не сочинили раньше (может и сочинили, конечно, но те, с кем он ей успел поделиться, о ней не слышали). А задачка хорошая, и ответ интересный:

В ящике лежат n пар носков. Я вытаскиваю носки по одному, наугад, пока не образуется пара. Сколько носков мне придется вытащить, в среднем?


Чем отличается эта задача от "бородатой" задачи :
В школе ребята заметили , что двое из них родились в один и тот же день.
При каком количестве учеников мы обнаружим такой факт?

Ничем , конечно.( Количество пар носков больше/меньше 366 , тоже не меняет сущность задачи и подход к ее решению.)
Но математическая"атака" меня впечатлила!
номер сообщения: 49-2-5365

1215

MikhailK

1 разряд
Москва

05.01.2012 | 11:19:28
Email

все его сообщения:
за день, за месяц,
за все время
LatchezarS, задачи всё же разные. В задаче iourique подразумевается, что одиноких носков в куче не было.
номер сообщения: 49-2-5366

1216

MikhailK

1 разряд
Москва

05.01.2012 | 11:20:51
Email

все его сообщения:
за день, за месяц,
за все время
Roger: Я тут как раз второй вечер подряд пытался сумму укрутить.


Спасибо iourique, что избавил нас от дальнейших мучений. А то у меня уже начала развиваться аллергия на биномиальные коэффициенты.
номер сообщения: 49-2-5367

1217

LatchezarS

2200
Бургас

05.01.2012 | 11:35:13
Email

все его сообщения:
за день, за месяц,
за все время
MikhailK: LatchezarS, задачи всё же разные. В задаче iourique подразумевается, что одиноких носков в куче не было.


Задачи - точь в точь - абсолютно одинаковые.

iourique:...
В ящике лежат n пар носков. Я вытаскиваю носки по одному, наугад, пока не образуется пара.
(Задача:)

Сколько носков мне придется вытащить, в среднем?


В школе ребята заметили , что двое из них родились в один и тот же день..
( Задача:)
При каком количестве учеников в среднем мы обнаружим такой факт?


Количество пар носков n( больше/меньше 366 ), не меняет сущность задачи и подход к ее решению.
номер сообщения: 49-2-5368

1218

iourique

05.01.2012 | 19:48:13

все его сообщения:
за день, за месяц,
за все время
LatchezarS:
MikhailK: LatchezarS, задачи всё же разные. В задаче iourique подразумевается, что одиноких носков в куче не было.


Задачи - точь в точь - абсолютно одинаковые.

Приблизительно настолько же "абсолютно одинаковые", как и предложения "у белых большой перевес" и "белые выиграли" .

На самом деле, задачи очень похожи, но они разные.
номер сообщения: 49-2-5369

1219

LatchezarS

2200
Бургас

05.01.2012 | 20:53:09
Email

все его сообщения:
за день, за месяц,
за все время
Разница одна :
Вы , из ящика вытаскиваете носки пока не образуется одинаковая пара.
А я , в классную комнату тащу школьников пока двое не окажутся с одинаковые дни рождения.
Но это значение не имеет.
номер сообщения: 49-2-5370

1220

iourique

05.01.2012 | 21:18:15

все его сообщения:
за день, за месяц,
за все время
LatchezarS: Но этозначение не имеет.

Лачезар, а если подумать немножко? Вероятность того, что у следующего школьника день рождения придется на конкретное число, не зависит от того, когда родились уже затащенные в класс школьники. В задаче с носками это очевидно не так - вероятность вытащить первый носок из конкретной нетронутой пары вдвое выше, чем вероятность вытащить второй носок из конкретной уже начатой пары.
номер сообщения: 49-2-5371

1221

LatchezarS

2200
Бургас

05.01.2012 | 23:17:24
Email

все его сообщения:
за день, за месяц,
за все время
iourique:
LatchezarS: Но этозначение не имеет.

Лачезар, а если подумать немножко? Вероятность того, что у следующего школьника день рождения придется на конкретное число, не зависит ...

Заблуждаетесь. Фактическое положение , как и логика суждении абсолютно одинаковые.
Подумайте...
номер сообщения: 49-2-5372

1222

iourique

05.01.2012 | 23:23:24

все его сообщения:
за день, за месяц,
за все время
LatchezarS: Заблуждаетесь.

Ну заблуждаюсь так заблуждаюсь.
номер сообщения: 49-2-5373

1223

Roger

05.01.2012 | 23:35:34

все его сообщения:
за день, за месяц,
за все время
А нет ли у Вас, Юрик, ещё какой-нибудь неправильной задачи?
номер сообщения: 49-2-5374

1224

LatchezarS

2200
Бургас

05.01.2012 | 23:35:40
Email

все его сообщения:
за день, за месяц,
за все время
Для наглядности на лоб ученика приклеите один чулок , а на его щеки запишите дату и месяц его рождения.
Если смущает количество дней в году ,а у вас примерно 20 пар носков возмем только школьников родившихся с 1 по 20 число какого то месяца...
номер сообщения: 49-2-5375

1225

Roger

05.01.2012 | 23:37:23

все его сообщения:
за день, за месяц,
за все время
И чтоб все с близнецами были.

Roger: А нет ли у Вас, Юрик, ещё какой-нибудь неправильной задачи?

Кстати, к Вам, Лачезар, тот же вопрос.
номер сообщения: 49-2-5376

1226

iourique

05.01.2012 | 23:44:01

все его сообщения:
за день, за месяц,
за все время
Roger: А нет ли у Вас, Юрик, ещё какой-нибудь неправильной задачи?

Нет, увы. Вот спасибо знакомому, поделился, а то что-то давно ничего хорошего не было.
номер сообщения: 49-2-5377

1227

Хайдук

07.01.2012 | 09:21:14

все его сообщения:
за день, за месяц,
за все время
iourique: Удалось обобщить задачу на случай многоногих животных, которым нужно не 2 носка, а s, и которым нужно набрать комплект из ящика с n комплектами. Ответ на удивление изящен.

Почем владеете дискретной математикой, с какого перепугу, а юрик?
номер сообщения: 49-2-5382

1228

pikovit

10.04.2012 | 10:20:20

все его сообщения:
за день, за месяц,
за все время
На доске 4 фигуры. Если первыми ходят белые - они объявляют мат в 1 ход. Если первыми ходят черные - они объявляют мат в 1 ход. Сколько всего существует таких позиций.
номер сообщения: 49-2-6083

1229

LatchezarS

2200
Бургас

11.04.2012 | 11:21:53
Email

все его сообщения:
за день, за месяц,
за все время
pikovit: На доске 4 фигуры. Если первыми ходят белые - они объявляют мат в 1 ход. Если первыми ходят черные - они объявляют мат в 1 ход. Сколько всего существует таких позиций?












Кажется всего 21 позиции.Перевёртышей и цвет фигур не в счёт.
номер сообщения: 49-2-6086

1230

LatchezarS

2200
Бургас

11.04.2012 | 12:30:30
Email

все его сообщения:
за день, за месяц,
за все время
Всего 21 позиции.Перевёртышей и цвет фигур не в счёт.
Более наглядно такое отображение позиции:

номер сообщения: 49-2-6087

1231

V_A_L

11.04.2012 | 23:49:18

все его сообщения:
за день, за месяц,
за все время
ОЧЕРЕДНОЙ ЗАГАДОЧНЫЙ КОНКУРС

В конце прошлого года я уже проводил здесь (и не только)конкурс многоступенчатых загадок.
Поскольку нашлись обитатели chesspro, которым эта затея пришлась по душе, осмелюсь продолжить.

=====================================
Напоминаю ПРАВИЛА КОНКУРСА

Участникам конкурса будет предложено 7 загадок. К каждой загадке будет 4 подсказки. Но не все они публикуются одновременно.
После публикации очеpедной поpции подсказок, каждый участник в заpанее обговоpенный сpок (до обнаpодования следующих подсказок) имеет пpаво пpисылать свои веpсии ответов, по одной на каждую загадку. Таким обpазом, один участник имеет пpаво высказать не более четыpех веpсий ответа на каждую загадку.
За загадку, отгаданную с k-той подсказки, участник получает 6-k пpизовых баллов. Это число не изменится, даже если после очередной подсказки, конкурсант предложит другую версию.
Обpащаю внимание, что пpедлагаемое меpопpиятие именно конкуpс. Это означает, что Ваши ответы следует пpисылать не в форум, а лично мне. Ответы можно направлять мне в "Личные сообщения" или на адрес val-etc@yandex.ru

Итак, поехали.
=================================
Ответы на первые подсказки принимаются до 24:00, 16.04.2012

I.
1. Заменив в этом слове последнюю букву, можно получить не менее пяти.

II.
1. Это не жительница одной из азиатских стран.

III.
1. Современный человек вполне может принять это за деепричастие.

IV.
1. Когда говорят, что кто-то смотрит туда, имеют в виду несколько иное.

V.
1. Геометрический объект, названный в его честь, не велик (настолько не велик, что вовсе не имеет размеров). Но не представляет интереса только для особо тупых.

VI.
1. Его дед был известным философом.

VII.
1. В СИ и СГС этого не сыщешь.
номер сообщения: 49-2-6088