ChessPro online

Партия месяца

вернуться в форум

21.06.2006 | 12:32:29

Главная  -  Блог Максима Ноткина

212

Maks

22.08.2008 | 03:49:44

все его сообщения:
за день, за месяц,
за все время
manowar: Максим, здравствуйте, я опять зашел в ваш блог.
Ознакомился с партиями месяца. Во время их просмотра посетила меня мысль, что у каждого практикующего (хоть изрелка) шахматиста бывают и жертвы, и контржертвы, и неожиданные ходы. На другом, конечно, уровне, но тем не менее. То есть при беглом просмотре грандиозного впечатления не получается. В этой связи вопрос: а нельзя ли поискать комментариев к партиям, включенным в подборку, и ежели таковые есть, дать на них ссылки? И в качестве альтернативы: один из экспертов сайта чесспро анализирует партию-победителя и публикует анализ на сайте.


Леонид, идея безусловно здравая и привлекательная, но, как показывает мой богатый опыт в этом деле, имеются технические трудности. К многим из партий, представленных в списках, найти комментарии несложно, однако в онлайне и в экспресс-обзоре все равно трудно понять все глубины, а полировать чьи-то анализы по третьему разу эксперту уже не столь интересно. Идеальный вариант - получить авторские примечания, но если хороших знакомых я теоретически могу попросить, то как быть с Анандом или Карлсеном? Да и хорошие знакомые зачастую связаны обязательствами перед журналами. В период работы на е3е5 я комментировал те партии, которые "не на виду". Во-первых, не могу сказать, что моя жизнь становилась легче. Во-вторых, иногда получалось, что в фокусе внимания оказывались партии, занявшие надцатые места в голосовании. То есть, единый формат выдержать нелегко. Да еще эта волна турниров, когда все успеть? В каком-то году я собрал из разных источников примечания к 10 или 15 лучшим партиям года. Вот разве что такое можно будет попробовать.
номер сообщения: 26-20-1827

213

Jester_Buffoon

initium
Nequaquam

22.08.2008 | 04:04:49
Сайт

все его сообщения:
за день, за месяц,
за все время
Maks: В каком-то году я собрал из разных источников примечания к 10 или 15 лучшим партиям года. Вот разве что такое можно будет попробовать.
В этом году, по-моему, будет более 10-15-ти "лучших". Осень ожидается урожайная - осадков много было.
Хоть центнер с гектара осилит собрать Максим Ноткин?
P.S.
А ведь ко времени подведения итогов уже и озимые поспеют...
Не позавидуешь комбайнерам.

__________________________
maya idam sarvam
номер сообщения: 26-20-1828

214

Jester_Buffoon

initium
Nequaquam

11.09.2008 | 07:18:33
Сайт

все его сообщения:
за день, за месяц,
за все время



__________________________
maya idam sarvam
номер сообщения: 26-20-1839

215

Maks

11.09.2008 | 09:24:38

все его сообщения:
за день, за месяц,
за все время
Ничья Непомнящего с Витюговым на вид еще хлеще.
номер сообщения: 26-20-1840

216

Jester_Buffoon

initium
Nequaquam

12.09.2008 | 12:19:12
Сайт

все его сообщения:
за день, за месяц,
за все время
Maks: Ничья Непомнящего с Витюговым на вид еще хлеще.
Спасибо за наводку! Сейчас гляну.
P.S.
Понравилась еще одна ничья (и дружище Fritz 11 обожает ладейники! ): Кобалия - Девяткин (10... Nce7!?).
Но некоторые сомнения гложат...
Например:

25... Nf8
Не солиднее ли выглядит 25... Ne7, или все это лишь дело вкуса?
Попробуем продолжить в том же направлении, что случилось в партии:
26. Qxd7 Rxd7 27. d6!? Nd5!? (27... Rxd6) 28. Bf4 f5 29. Rec4 Nxf4 30. Rxf4 Rxd6 31. Rxf5 Rad8

И можно обойтись без приключений и "рубинштейновских" выкрутасов...

Постараюсь выложить анализ, если Андрей не опередит.

__________________________
maya idam sarvam
номер сообщения: 26-20-1841

217

дед

18.09.2008 | 11:31:53

все его сообщения:
за день, за месяц,
за все время
Трудно назвать этот пост - "комментарием". Это скорее вопрос?
Что?
Где?
Когда?
Делает команда России в Китае?
И где есть официальная "инфо"?
номер сообщения: 26-20-1844

218

Maks

18.09.2008 | 13:32:54

все его сообщения:
за день, за месяц,
за все время
Пока ничего официального нет. Туда поехал Марк Глуховский, наверное, в ближайшее время появится информация на сайте РШФ.
номер сообщения: 26-20-1845

219

Jester_Buffoon

initium
Nequaquam

18.09.2008 | 19:50:12
Сайт

все его сообщения:
за день, за месяц,
за все время
Maks:
дед: Трудно назвать этот пост - "комментарием". Это скорее вопрос?
Что?
Где?
Когда?
Делает команда России в Китае?
И где есть официальная "инфо"?
Пока ничего официального нет. Туда поехал Марк Глуховский, наверное, в ближайшее время появится информация на сайте РШФ.
http://russiachess.org/content/blogcategory/123/377/
2008 год
Матч Россия-Китай

18.09.2008 г.
С 18 по 27 сентября в Нинбо (Китай) проходит пятый традиционный матч между сборными России и Китая.
Женская сборная России: Татьяна и Надежда Косинцевы, Наталья Погонина, Екатерина Корбут и Екатерина Ковалевская.
Мужская сборная России: Петр Свидлер, Дмитрий Яковенко, Евгений Алексеев, Эрнесто Инаркиев и Евгений Томашевский.
Женская сборная Китая: Чжао Сюй, Руан Луфей, Сюй Юйхуа, Шень Янь, Хуанг Кьян.
Мужская сборная Китая: Бу Cянxжи, Ни Хуа, Ван Юэ, Ван Хао, Ли Чао.

Матч проходит по шевенингенской системе и состоит из трех этапов. С 18 по 22 сентября команды играют пять матчей с классическим контролем. 23 сентября – выходной день. 24, 25 и 26 сентября команды сыграют в быстрые шахматы (в два круга), а в заключительный день, 27 сентября, состоится блиц-матч.

В первом туре мужская сборная Китая одержала победу со счетом 3.5-1.5 очка, матч женских команд завершился вничью.

Результаты первого тура: Свидлер – Бу Сянчжи 1/2, Томашевский – Ни Хуа 1/2, Ван Хао – Яковенко 1-0, Ван Юэ – Инаркиев 1/2, Ли Чао – Алексеев 1-0, Чжао Сюй – Т.Косинцева 1/2, Хуанг Кьян – Н.Косинцева 1/2;, Корбут – Шень Янь 0-1, Погонина – Руан Люфей 1-0, Ковалевская – Сюй Юйхуа 1/2.

Во втором туре играют: Яковенко – Бу Сянчжи, Ни Хуа – Свидлер, Алексеев – Ван Юэ, Инаркиев – Ван Хао, Ли Чао – Томашевский, Руан Люфей – Т.Косинцева, Н.Косинцева – Чжао Сюй, Сюй Юйхуа – Корбут, Шень Янь – Погонина, Ковалевская - Хуанг Кьян.


__________________________
maya idam sarvam
номер сообщения: 26-20-1846

220

Maks

19.09.2008 | 00:09:56

все его сообщения:
за день, за месяц,
за все время
Jester, в следующий раз копируйте с е3е5, там имена китайских шахматисток правильнее пишут
Скоро сделаем блок на главной странице.
номер сообщения: 26-20-1847

221

Mikhail_Golubev

мы сами не местные...

21.09.2008 | 18:21:31
Сайт

все его сообщения:
за день, за месяц,
за все время
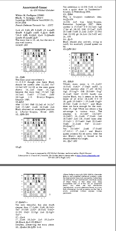
Готов похвалиться находкой, Парлиграс-Круппа из командного ч-та Румынии, вполне достойна войти в сентябрьскую коллекцию, ИМХО.

Яркий момент там ферзем на d4 в позиции на диаграмме, но и новинка была сильная, и сопутствующие нюансы интересные.



Вот, мой комммент из Chess Today в сжатом виде:




__________________________
А теперь наш экипаж прощается с вами.
номер сообщения: 26-20-1853

222

Maks

21.09.2008 | 19:00:02

все его сообщения:
за день, за месяц,
за все время
Я уже, естественно, взял на заметку, но пока еще с августовскими никак не завершу.
номер сообщения: 26-20-1854

223

Jester_Buffoon

initium
Nequaquam

23.09.2008 | 09:47:55
Сайт

все его сообщения:
за день, за месяц,
за все время
Maks: Jester, в следующий раз копируйте с е3е5, там имена китайских шахматисток правильнее пишут
Скоро сделаем блок на главной странице.
Океюшки.
А хоть какой-то разбор полетов (залетов) по горячим следам ожидается?
Или партии не представляют интереса?

__________________________
maya idam sarvam
номер сообщения: 26-20-1855

224

dambi

любитель
Русе

25.09.2008 | 09:36:32

все его сообщения:
за день, за месяц,
за все время
ув.Максим Ноткин, а можно прогнозы за Партия месяца ?
номер сообщения: 26-20-1862

225

Maks

25.09.2008 | 10:53:33

все его сообщения:
за день, за месяц,
за все время
dambi: ув.Максим Ноткин, а можно прогнозы за Партия месяца ?


Что скажут немногочисленные активные участники этой темы? Может быть, действительно интереснее будет угадывать решение жюри?
номер сообщения: 26-20-1863

226

Maks

25.09.2008 | 10:56:00

все его сообщения:
за день, за месяц,
за все время
Jester_Buffoon: А хоть какой-то разбор полетов (залетов) по горячим следам ожидается?
Или партии не представляют интереса?


По горячим у нас точно не будет. Может, по остывшим На сайте РШФ несколько партий прокомментированы участниками.
номер сообщения: 26-20-1864

227

Jester_Buffoon

initium
Nequaquam

25.09.2008 | 12:28:46
Сайт

все его сообщения:
за день, за месяц,
за все время
Maks:
dambi: ув.Максим Ноткин, а можно прогнозы за Партия месяца ?


Что скажут немногочисленные активные участники этой темы? Может быть, действительно интереснее будет угадывать решение жюри?
А просто альтернативные голосовалки (Приз зрительских симпатий) нельзя будет делать? Что-то похожее обещалось, если мне память не изменяет...


__________________________
maya idam sarvam
номер сообщения: 26-20-1865

228

dambi

любитель
Русе

25.09.2008 | 13:22:58

все его сообщения:
за день, за месяц,
за все время
Jester_Buffoon:
Maks:
dambi: ув.Максим Ноткин, а можно прогнозы за Партия месяца ?

Что скажут немногочисленные активные участники этой темы? Может быть, действительно интереснее будет угадывать решение жюри?
А просто альтернативные голосовалки (Приз зрительских симпатий) нельзя будет делать? Что-то похожее обещалось, если мне память не изменяет...

Лучший вариант - результат от прогнозы = Приз зрительских симпатий
Прогнозы делает больше 100 участники в форуме !
номер сообщения: 26-20-1866

229

Jester_Buffoon

initium
Nequaquam

25.09.2008 | 13:26:36
Сайт

все его сообщения:
за день, за месяц,
за все время
dambi:
Jester_Buffoon:
Maks:
dambi: ув.Максим Ноткин, а можно прогнозы за Партия месяца ?

Что скажут немногочисленные активные участники этой темы? Может быть, действительно интереснее будет угадывать решение жюри?
А просто альтернативные голосовалки (Приз зрительских симпатий) нельзя будет делать? Что-то похожее обещалось, если мне память не изменяет...

Лучший вариант - результат от прогнозы = Приз зрительских симпатий
Прогнозы делает больше 100 участники в форуме !
Ох, а ведь Вы полностью правы!
Поддерживаю!

__________________________
maya idam sarvam
номер сообщения: 26-20-1867

230

manowar


Минск

30.09.2008 | 22:37:38

все его сообщения:
за день, за месяц,
за все время
Прочел статью про партии августа. В целом согласен с мнением жюри - отмеченные партии мне тоже понравились, а мое предпочтение поединку Карякин-Раджабов (который я поставил бы на первое место) можно списать на мою любовь к "Дракону".

Маленькое замечание: о том, кто именно из братьев Жигалко играл партию, вошедшую в десятку, можно узнать только при просмотре партий по ссылке, но не в самой статье. Возможно, вам стоило поставить хотя бы инициал.
номер сообщения: 26-20-1869

231

Maks

01.10.2008 | 01:07:22

все его сообщения:
за день, за месяц,
за все время
manowar: Маленькое замечание: о том, кто именно из братьев Жигалко играл партию, вошедшую в десятку, можно узнать только при просмотре партий по ссылке, но не в самой статье. Возможно, вам стоило поставить хотя бы инициал.


Теперь читателю не придется ломать голову
номер сообщения: 26-20-1870

232

manowar


Минск

01.10.2008 | 10:24:26

все его сообщения:
за день, за месяц,
за все время
Maks: Теперь читателю не придется ломать голову

номер сообщения: 26-20-1871

233

Mikhail_Golubev

мы сами не местные...

01.10.2008 | 14:18:06
Сайт

все его сообщения:
за день, за месяц,
за все время
Maks:
dambi: ув.Максим Ноткин, а можно прогнозы за Партия месяца ?


Что скажут немногочисленные активные участники этой темы? Может быть, действительно интереснее будет угадывать решение жюри?


Я бы не взялся угадывать. :-) Судя по последнему голосованию. Ни одна партия из 20 не попала во все 9 десяток. При этом, семь разных партий на первых местах.


__________________________
А теперь наш экипаж прощается с вами.
номер сообщения: 26-20-1872

234

vasa

22.10.2008 | 23:17:53

все его сообщения:
за день, за месяц,
за все время
Требую включения сегодняшней партии Аронян - Волокитин в список!
Не партия, а сплошное "аффигеть"!


__________________________
Завтра продолжу.
номер сообщения: 26-20-1919

235

Maks

22.10.2008 | 23:44:02

все его сообщения:
за день, за месяц,
за все время
Я уже видел
номер сообщения: 26-20-1920

236

mickey

25.10.2008 | 00:09:14

все его сообщения:
за день, за месяц,
за все время
А моя партия в список попала по блату :) ? Там же ничего особенного не было. Если бы еще дошло до эндшпиля "два слона против коня" - был бы повод народу посмеяться.
номер сообщения: 26-20-1936

237

Maks

25.10.2008 | 01:41:42

все его сообщения:
за день, за месяц,
за все время
mickey: А моя партия в список попала по блату :) ? Там же ничего особенного не было. Если бы еще дошло до эндшпиля "два слона против коня" - был бы повод народу посмеяться.


Ты молодец, играл до конца и создал хороший цугцванг (да, благодаря ошибке соперника). Пусть молодежь учится.
номер сообщения: 26-20-1937

238

Mikhail_Golubev

мы сами не местные...

28.10.2008 | 13:30:36
Сайт

все его сообщения:
за день, за месяц,
за все время
!?

[Event "Bundesliga 2008/09"]
[Site "Germany GER"]
[Date "2008.10.26"]
[Round "4"]
[White "Sargissian, G."]
[Black "Gustafsson, J."]
[Result "1-0"]
[ECO "D48"]
[WhiteElo "2642"]
[BlackElo "2634"]
[PlyCount "47"]
[EventDate "2008.10.03"]
[EventType "tourn"]
[EventRounds "15"]
[EventCountry "GER"]
[Source "Chess Today"]
[SourceDate "2008.10.28"]

1. d4 d5 2. c4 c6 3. Nc3 Nf6 4. e3 e6 5. Nf3 Nbd7 6. Bd3 dxc4 7. Bxc4 b5 8. Bd3
Bb7 9. O-O a6 10. e4 c5 11. d5 Qc7 12. dxe6 fxe6 13. Bc2 c4 14. Ng5 Nc5 15. Be3
h6 16. Nxe6 Nxe6 17. e5 Qxe5 18. Bg6+ Ke7 19. Re1 Qd6 20. Bd4 Rd8 21. Qe2 Qc6
22. Bxf6+ Kxf6 23. Be4 Nd4 24. Qg4 1-0



__________________________
А теперь наш экипаж прощается с вами.
номер сообщения: 26-20-1942

239

ddt

29.10.2008 | 15:37:57

все его сообщения:
за день, за месяц,
за все время
Эту партию уже упомянули в обзоре на сайте Бундеслиги
номер сообщения: 26-20-1943

240

Однодворец

02.12.2008 | 03:52:43

все его сообщения:
за день, за месяц,
за все время
Максим, а сколько, в среднем, приходится разбирать партий для ежемесячной десятки?
номер сообщения: 26-20-1969

241

Maks

02.12.2008 | 13:50:42

все его сообщения:
за день, за месяц,
за все время
Ну, это не разбор, а просмотр с той или иной степенью тщательности (иногда очень беглый). Всего в рассылках твика за месяц получается тысяч 6-7 партий, я смотрю крупные круговые турниры целиком, рангом поменьше - в основном результативные партии, в швейцарках - первые 5-10 досок, начиная с 3-4 тура (в таких как Аэрофлот, понятно, больше), и всякие командные турниры - партии с участием пятисотников и выше. Наверно, 700-800 набегает в среднем. На первом этапе отбирается партий 30-40, в удачные месяцы больше, потом уже начинается что-то вроде разбора с целью определить 20.
номер сообщения: 26-20-1970