ChessPro online

Матч на первенство мира 2016

вернуться в форум

08.06.2006 | 14:44:15

Главная  -  pro//турниры
написать сообщение

1382

Алексей_Я

20.09.2016 | 00:23:11

все его сообщения:
за день, за месяц,
за все время
 цитировать  pm
Друзья, хотел спросить у профессионалов: каковы, по вашему мнению, сейчас шансы каждого из соперников на выигрыш матча, учитывая их текущий рейтинг, сильные и слабые стороны, игру, показанную на Олимпиаде, и все прочие факторы?

У Бульдозера вроде был мощный симулятор турниров/матчей на основе рейтинга и с учетом цвета. Можно ли его попросить любезно запустить сей симулятор и сказать нам, что получается?

Чисто интуитивно я бы дал 70-30 в пользу Карлсена.
номер сообщения: 16-488-220167

1383

MaxML

кмс
Одесса

20.09.2016 | 00:24:38

все его сообщения:
за день, за месяц,
за все время
 цитировать  pm
А Вы профессионал? )
номер сообщения: 16-488-220168

1384

Алексей_Я

20.09.2016 | 16:18:55

все его сообщения:
за день, за месяц,
за все время
 цитировать  pm
Ну что вы, я любитель, просроченный перворазрядник.
На самом деле я зря написал "профессионалов", ведь было бы интересно мнение всех, кто так или иначе разбирается в данном вопросе.
номер сообщения: 16-488-220170

1385

арт.

20.09.2016 | 16:30:04
Сайт

все его сообщения:
за день, за месяц,
за все время
 цитировать  pm
в этом никто не разбирается, вернее, не может гарантировать точность прогноза
всегда есть элемент неожиданности.
Шорт, к примеру, оценивает 60 на 40 - шансы соперников
номер сообщения: 16-488-220171

1386

MaxML

кмс
Одесса

20.09.2016 | 16:32:24

все его сообщения:
за день, за месяц,
за все время
 цитировать  pm
Мой вариант: 65 на 35 в пользу МК.
Я думаю, большинство прогнозов будет примерно такими: 55-75% в пользу Магнуса.
номер сообщения: 16-488-220172

1387

BillyBones


Т. - А.

20.09.2016 | 17:19:02

все его сообщения:
за день, за месяц,
за все время
 цитировать  pm
Несите деньги в контору
На Марафоне шансы Магнуса оценивают в 83%.
Другими словами, они считают, что один матч из шести Сергей выиграет.
номер сообщения: 16-488-220173

1388

ODESSA

1 разряд

20.09.2016 | 18:42:53

все его сообщения:
за день, за месяц,
за все время
 цитировать  pm
Тотализатор, наверно, наиболее вероятный ответ - у них эксперты математики в штате. Так вот, тотализатор Bwin, например, даёт ставки
1.2 - 4,25 Карлсен -Карякин. С учетом 5% маржи, примерно 70 - 30 %!



не так!

Create a shortened URL
Visit the Google URL shortener site at goo.gl.
If you aren't signed in, click the Sign in button in the top right corner.
Write or paste your URL in the Paste your long URL here box.
Click Shorten URL.


__________________________
не надо шутить с войной
номер сообщения: 16-488-220174

1389

Почитатель

20.09.2016 | 18:44:58

все его сообщения:
за день, за месяц,
за все время
 цитировать  pm
Алексей_Я:
У Бульдозера вроде был мощный симулятор турниров/матчей на основе рейтинга и с учетом цвета. Можно ли его попросить любезно запустить сей симулятор и сказать нам, что получается?

Это не Высоцкий?

Слышал я: кто сменить ник на Экскаватор,
тот задаром получаит симулятор...
номер сообщения: 16-488-220175

1390

ODESSA

1 разряд

20.09.2016 | 18:45:35

все его сообщения:
за день, за месяц,
за все время
 цитировать  pm
BillyBones: Несите деньги в контору
На Марафоне шансы Магнуса оценивают в 83%.
Другими словами, они считают, что один матч из шести Сергей выиграет.

А как Вы оценили , что 83%?
номер сообщения: 16-488-220176

1391

Почитатель

20.09.2016 | 18:59:44

все его сообщения:
за день, за месяц,
за все время
 цитировать  pm
ODESSA: Тотализатор, наверно, наиболее вероятный ответ...

О, точно

...
И такой сверхмощный симулятор,
что не страшен никакой тотализатор...
номер сообщения: 16-488-220178

1392

BillyBones


Т. - А.

20.09.2016 | 19:04:44

все его сообщения:
за день, за месяц,
за все время
 цитировать  pm
ODESSA:
BillyBones: Несите деньги в контору
На Марафоне шансы Магнуса оценивают в 83%.
Другими словами, они считают, что один матч из шести Сергей выиграет.

А как Вы оценили , что 83%?


Из ставок.
На чемпионство Карлсена было 1.143, Карякина - 5.6
номер сообщения: 16-488-220179

1393

Алексей_Я

20.09.2016 | 19:29:18

все его сообщения:
за день, за месяц,
за все время
 цитировать  pm
Наверно, 83% за Карлсена многовато все же... Матч короткий, может случиться всякое. Один сыграет на 50 очков хуже своего рейтинга, второй на 50 очков лучше, и вот уже равная борьба. Тут еще важно, кто в какой форме подойдет к матчу и так далее...
номер сообщения: 16-488-220180

1394

Почитатель

20.09.2016 | 21:50:41

все его сообщения:
за день, за месяц,
за все время
 цитировать  pm
Сергей Макарычев

- Вы в разное время были секундантом Анатолия Карпова и Гарри Каспарова во время их матчей на звание чемпиона мира. А нет ли сейчас желания помочь Сергею Карякину в предстоящем матче против Магнуса Карлсена?

- Мы с супругой всегда поддерживали Сережу. Сняли его в фильме, когда ему было еще 12 лет и он был уже тренером по тактике у Руслана Пономарева. В дальнейшем простимулировали его и помогли перебраться в Россию. Не уверен, что смог бы сейчас эффективно помочь Карякину в свете современных шахматных новаций. Но в психологическом плане я некоторые вещи ему уже посоветовал. Это очень важно перед таким ответственным матчем. Дело в том, что у Карякина сейчас не такие высокие результаты и это давит в психологическом отношении. Вот если бы претендентом был Крамник, показывающий сегодня великолепные результаты, то думаю шансов на то, чтобы вернуть шахматную корону в Россию было бы больше. Карлсен – слишком яркая фигура в мире шахмат и на данный момент выглядит очень уверенно на фоне остальных шахматистов планеты. Шансы на его победу расцениваются очень высоко. Но с другой стороны, шансы Капабланки перед матчем с Алехиным оценивались еще выше, а тот взял и выиграл. Так что будем ждать и болеть за Сергея Карякина.
номер сообщения: 16-488-220181

1395

manowar


Минск

20.09.2016 | 22:24:52

все его сообщения:
за день, за месяц,
за все время
 цитировать  pm
арт.: в этом никто не разбирается, вернее, не может гарантировать точность прогноза
всегда есть элемент неожиданности.
Шорт, к примеру, оценивает 60 на 40 - шансы соперников


Тут было бы интересно услышать мнение Базара с его опытом в ставках.
С одной стороны, букмекеры реже ошибаются в своих прогнозах, потому что за них отвечают деньгами. С другой стороны, если бы они никогда не ошибались, не существовало бы людей, которые занимаются ставками профессионально.

Как ни посмотри, Карлсен сейчас смотрится большим фаворитом, но 83% - это как-то удивительно. Возможно, такая линия связана с тем, что на Карякина поступает не так много ставок. Не верит народ в Сергея, или по крайней мере не настолько, чтобы ставить на него свои деньги.
номер сообщения: 16-488-220182

1396

ODESSA

1 разряд

20.09.2016 | 22:36:47

все его сообщения:
за день, за месяц,
за все время
 цитировать  pm
BillyBones:
ODESSA:
BillyBones: Несите деньги в контору
На Марафоне шансы Магнуса оценивают в 83%.
Другими словами, они считают, что один матч из шести Сергей выиграет.

А как Вы оценили , что 83%?


Из ставок.
На чемпионство Карлсена было 1.143, Карякина - 5.6

Понятно, но надо учитывать ещё завышение ставок на доход 5-10%, так что соотношение реально таки 80 - 20 %.
номер сообщения: 16-488-220183

1397

Почитатель

20.09.2016 | 22:38:43

все его сообщения:
за день, за месяц,
за все время
 цитировать  pm
manowar: Не верит народ в Сергея...

Сергей Макарычев
Вот если бы претендентом был Крамник...
номер сообщения: 16-488-220184

1398

Почитатель

20.09.2016 | 23:33:18

все его сообщения:
за день, за месяц,
за все время
 цитировать  pm


номер сообщения: 16-488-220185

1399

Cube2

20.09.2016 | 23:51:48

все его сообщения:
за день, за месяц,
за все время
 цитировать  pm
Я даю Магнусу 63% против Сергея и 92% против Кар Р Ааса.
номер сообщения: 16-488-220187

1400

Почитатель

20.09.2016 | 23:54:58

все его сообщения:
за день, за месяц,
за все время
 цитировать  pm
!!!

Carlsen-Nakamura Blitz Battle Set For October 27

Nakamura is entering this match with some extra confidence. He finally managed to beat Carlsen in a classical game at the recent Bilbao Chess Masters Final. However, classical is classical. In over-the-board blitz, with games mostly played at world blitz championships and the opening days of super tournaments, Carlsen leads 10.5-6.5.

On November 18, 2008, Carlsen and Nakamura played a secret blitz match in their hotel in Moscow, the night after both had participated in the World Blitz Championship. They battled it out over no less than 40 games in the presence of only a few lucky insiders, including yours truly. Carlsen won 24.5-15.5.


A year later, in 2009 in Oslo, Nakamura beat Carlsen 3-1 in the final of the BNBank Blitz tournament. After that, they might have crossed swords a few times online using anonymous accounts, but the Blitz Battle on October 27 will be the first public match between Carlsen and Nakamura since. It's safe to say that their battle is going to be the biggest online chess event of all time.
номер сообщения: 16-488-220188

1401

Roger

20.09.2016 | 23:59:20

все его сообщения:
за день, за месяц,
за все время
 цитировать  pm
Cube2: Я даю Магнусу 63% против Сергея и 92% против Кар Р Ааса.

Главное - правильно организовать reception.
номер сообщения: 16-488-220189

1402

Bulldozer

1

21.09.2016 | 01:37:34

все его сообщения:
за день, за месяц,
за все время
 цитировать  pm
Алексей_Я: У Бульдозера вроде был мощный симулятор турниров/матчей на основе рейтинга и с учетом цвета. Можно ли его попросить любезно запустить сей симулятор и сказать нам, что получается?

Чисто интуитивно я бы дал 70-30 в пользу Карлсена.

Да, будет примерно столько.
Задачу понял, скоро сделаю. В этот раз будет более точный расчёт - на основе реальной статистики игр высокорейтинговых шахматистов. Раньше какие-то эмпирические формулы в основном применял, но для Олимпиады сделал апгрейд методики.

__________________________
Trump won. Lets grab some pussy.
номер сообщения: 16-488-220192

1403

Bulldozer

1

23.09.2016 | 17:13:13

все его сообщения:
за день, за месяц,
за все время
 цитировать  pm
Я получил вероятность победы Карлсена 82% (включая победу на тайбрейке).
Результат весьма неожиданный - отличается от интуитивных ожиданий, которые были 70 с небольшим %. Но вроде всё несколько раз проверил. Расскажу, как считал. Рассказ нужен, чтобы это моё число считалось не тычком пальцем в небо, а основанной хоть на какой-то науке попыткой. Но это по сути всё равно пока смесь науки с методом тыка, ибо я не профи в математике, и знаний не хватает. Советы по методике, кстати, охотно принимаются.
Далёк от мысли, что мой метод идеален, но есть надежда, что он хотя бы удовлетворителен, и погрешность находится в районе хотя бы 5 единиц. Но доказать это нельзя, конечно.

Мне нужны были такие данные: 1) матожидание силы обоих игроков (рейтинг), 2) СКО силы обоих игроков, 3) функция, рассчитывающая вероятность исхода партии в зависимости от 1 и 2. Теперь по порядку о том, как получал эти данные.

1. Рейтинг игроков взял с 2700chess.com. Карлсен - 2853, Карякин - 2772. Вполне можно надеяться, что ФИДЕшные формулы сильно не врут. Метод Elo хоть и уступает другим, более современным, но разница не слишком существенная, если речь идёт о состоявшихся и стабильных игроках. В любом случае, других рейтингов ни у кого для нас нет.

2. СКО взять негде, потому что ФИДЕ использует систему Elo, которая СКО не рассчитывает. СКО рассчитывает, например, Gliko и TrueSkill, но мне неизвестны проекты по ведению международных шахматных рейтингов с помощью таких систем. Так что пришлось напрячься, чтобы получить похожее на правду СКО. Но это всё равно было реально самое слабое место моего маленького исследования.
Перечитывая Gliko и вдумываясь в формулы, мне пришла в голову идея, что есть такой всем известный коэффициент развития в Elo K=10, и что должна быть прямая связь между RD (СКО) в Gliko и этим K в Elo. И мне, поковырявшись, удалось вывести зависимость между ними, пренебрегши парой малозначимых переменных. Формула такая: K ~= q * RD^2. Или, перевернув, RD ~= sqrt(K/q), где q = ln(10)/400 - некий масштабирующий к-т из Gliko. Это позволяет использовать K как отправную точку для получения RD. Тогда при K=10 искомое RD (СКО) получается такое: RD = sqrt(10*400/ln(10)) = 42.
Но, на самом деле, как и некоторые другие люди, я не согласен с K=10 и считаю, что с ним ФИДЕшные рейтинги слишком инерционны. Считаю, что K=15 находится ближе к истине. Тем более, что соперники довольно долго не играют перед матчем, а также усиленно готовятся, придумывают мощные новинки, так что сила их игры неизбежно становится более неопределённой, чем обычно. Следовательно, им нужно повышенный K.
Поэтому я использовал для расчёта RD именно значение K=15: RD = sqrt(K/q) = sqrt(15*400/ln(10)) = 51. Может быть это даже мало - сообщите.
Кстати, СКО берём одинаковое для обоих игроков, потому что не вижу серьёзных предпосылок кому-то завышать или занижать. И даже если надо было, то скажется это на результате несильно. Перед позапрошлым турниром претендентов я, скажем, считал Топалова тёмной лошадкой и искусственно завышал RD лично одному ему. Но сейчас такого не нужно.

3. Для получения вероятностей исходов партий исходя из рейтингов, до Олимпиады я использовал известную формулу, но перед Олимпиадой усовершенствовал этот момент - стал использовать реальную статистику игр, в которых были известны текущие рейтинги участвующих игроков. Статистика набрана не изо всех подряд игр, а только из примерно соответствующих требуемым рейтингам. В неё не входят партии в рапид и блиц. Была построена логистическая регрессия для разных диапазонов рейтингов. Но не буду рассказывать подробно об этом и называть конкретные числа. Важно, что у меня есть программа, которая принимает на вход рейтинги с указанием кто каким цветом играет и по коэффициентам логистической регрессии, полученным на основе анализа статистики, выдаёт вероятности победы белых, ничьи и победы чёрных.

Теперь у нас есть все необходимые данные 1-3.
Мы имеем такие пары значений вектора скилла игроков:
Карлсен - (2853, 51)
Карякин - (2772, 51)
И имеем возможность получить вероятности исходов в одной конкретной партии.
Теперь нам нужно проимитировать матч.

Делаем миллион раз следующее и усредняем результаты.
Перед каждым матчем для каждого игрока разыгрываем нормально распределённую случайную величину "скилл игрока". Параметры распределения: матожидание = рейтинг, СКО = RD. Используя полученную из статистики логистическую регрессию, находим вероятности трёх исходов партии. Разыгрываем случайным образом, какой исход партии выпадет и добавляем игрокам очки за партию. Так повторяем 12 партий. Или прерываем матч в случае досрочной победы.

Тайбрейк не имитируется - ничейные матчи из подсчёта отбрасываются, что, по сути, означает, что игрок выиграет тайбрейк с той же вероятностью, что и основное время матча. Это, конечно, упрощение, но лучшего выхода особо и нет - рапид-рейтинги, мне кажется, недостаточно точны, чтобы их серьёзно принимать во внимание. Скорее всего, отсуствие симуляции тайбрейка - немного в пользу Карлсена, потому что в настоящем тайбрейке партий намного меньше, чем в классику. Но, думаю, это вопрос одного, максимум двух процентов. Скажем, вместо 82 получилось бы 80-81.

Есть одно усовершенствование, которое опишу отдельно. В момент, когда находим вероятности трёх исходов партии, дополнительно умножаем вероятность ничьей на 1.05, а остальные вероятности на остальные исходы соответствующим образом уменьшаем. Такое искусственное увеличение вероятности ничьей нужно по той причине, что я верю, что в матчах игроки стремятся к ничьей больше, чем во время турниров. А регрессия-то построена в основном на турнирных партиях. То есть, тогда нужна какая-то коррекция, которую умножение на 1.05 и осуществляет.
Но, в принципе, разница во влиянии между 1.00 (то есть, ничего не умножать) и 1.05 на итоговую цифру вероятности победы Карлсена в матче маленькая, так что можно было и не заморачиваться с этим.

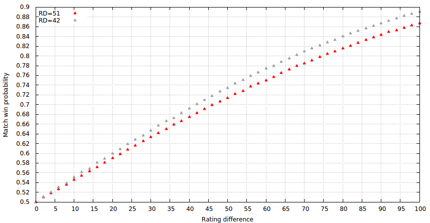
В итоге сделал график, на котором можно увидеть зависимость между разницей рейтингов и вероятностью победы в матче при двух фиксированных СКО скилла:
красный цвет - СКО=51
серый цвет - СКО=42 (если вам больше нравится стандартный коэффициент развития K=10)
Разница между рейтингами Карлсена и Карякина сейчас равна 2853 - 2772 = 81, так что находим 81 на оси абсцисс и смотрим значение ф-ии. Оно получается 82% на графике для СКО=51. Если разница рейтингов вдруг изменится (правда, вроде они играть больше не будут перед матчем), то результат можно будет уточнить по графику, а не переделывать расчёт. Но в любом случае, такой график лучше просто одного числа, потому что кто-то может захотеть ввести коррекцию в чей-нибудь рейтинг. Тогда просто пересчитайте разницу рейтингов и найдите на графике новый результат-вероятность.

номер сообщения: 16-488-220219

1404

BillyBones


Т. - А.

23.09.2016 | 17:26:30

все его сообщения:
за день, за месяц,
за все время
 цитировать  pm
На Марафоне шансы Магнуса оценивают в 83%.


Среди множества прочих способов решения проблемы лучшим, пожалуй, является такой: возьмите барометр с собой, найдите управляющего зданием и скажите ему:"У меня есть замечательный барометр. Он ваш, если вы скажете мне высоту этого здания"


Зато благодаря почтенному Bulldozerу теперь мы знаем, с какого потолка букмекеры берут свои цифры.
номер сообщения: 16-488-220220

1405

Bulldozer

1

23.09.2016 | 17:33:44

все его сообщения:
за день, за месяц,
за все время
 цитировать  pm
BillyBones: На Марафоне шансы Магнуса оценивают в 83%.

Марафону верить можно только очень приблизительно из-за специальных перекосов кэфов. Сложно сказать, есть ли там сейчас перекос и если да, то в какую сторону. Обычно перекос бывает в сторону увеличения шансов фаворита (меньше к-т). По той причине, что народ ломится ставить на фаворита. Но в данном случае вопрос очень спорный, потому что играет россиянин. А Марафон - контора, скорее, российская. И шахматы российский вид спорта. Соответственно, народ ломится и на Карякина ставить. Может, в данном случае происходит уравновешивание. :) Так-то, если бы Карлсен играл с кем-то типа Мамедьярова, число было бы, наверное, под 90.

__________________________
Trump won. Lets grab some pussy.
номер сообщения: 16-488-220221

1406

peBu3opkms

23.09.2016 | 17:39:49

все его сообщения:
за день, за месяц,
за все время
 цитировать  pm
Интересно. То есть на вероятность результата влияет абсолютная разница рейтингов.
Матчи между игроками с рейтингами 2850 и 2750 будут заканчиваться также, как матчи между игроками с рейтингами 1150 и 1050.
Интуиция (и, к сожалению, только она) подсказывает мне, что надо смотреть на относительную разницу в рейтингах, а не на абсолютную.
номер сообщения: 16-488-220222

1407

Ukrfan


Киев

23.09.2016 | 17:45:21

все его сообщения:
за день, за месяц,
за все время
 цитировать  pm
manowar:было бы интересно услышать мнение Базара с его опытом в ставках.
С одной стороны, букмекеры реже ошибаются в своих прогнозах, потому что за них отвечают деньгами. С другой стороны, если бы они никогда не ошибались, не существовало бы людей, которые занимаются ставками профессионально.

Как человек, имеющий опыт, сравнимый с опытом базара, скажу, что букмекеры, конечно, ошибаются, но ошибаются редкоочень редко они ошибаются в оценках шансов на топовые матчи (вроде финалов чемпионата мира), поэтому профессиональные игроки ставят на них только в одном случае: если массовое помешательство клиентов заставило букмекера сдвинуть первоначальную линию в сторону от правильной. Такие случаи чаще всего встречаются в футболе, рассказывать про них можно много, но я воздержусь.

В обсуждаемом случае, учитывая, что Марафон - как-никак, российская контора, можно было бы ожидать перекоса в сторону Карякина. Но, видимо, среди ставящих идиотов значительно меньше,чем здесь в других местах. И то сказать, когда тебе надо ответить за свои сомнительные высказывания деньгами, желание на них настаивать как-то резко пропадает (проверено здесь уже неоднократно).
номер сообщения: 16-488-220223

1408

Bulldozer

1

23.09.2016 | 17:47:10

все его сообщения:
за день, за месяц,
за все время
 цитировать  pm
peBu3opkms: Интересно. То есть на вероятность результата влияет абсолютная разница рейтингов.
Матчи между игроками с рейтингами 2850 и 2750 будут заканчиваться также, как матчи между игроками с рейтингами 1150 и 1050.
Интуиция (и, к сожалению, только она) подсказывает мне, что надо смотреть на относительную разницу в рейтингах, а не на абсолютную.

Не очень понял, что такое абсолютная и что такое относительная разница. По-моему, разница - она только какая-то одна. Так что уточните, пожалуйста.
По поводу 1150 и 1050 - это будет совсем другая история. График посчитан только для высоких рейтингов. Могу сказать конкретнее: статистика для создания регрессии взята из партий шахматистов со средним рейтингом из диапазона 2700-2900 (ну, партий со средним рейтингом выше ~2840 всё равно не было, но неважно) и разницей между рейтингами до 200 пунктов. Т.е., для 1150 и 1050 я бы взял другую статистику и получились бы совсем другие цифры. Там вероятность ничьей очень маленькая, например.

__________________________
Trump won. Lets grab some pussy.
номер сообщения: 16-488-220224

1409

Алексей_Я

23.09.2016 | 23:00:11

все его сообщения:
за день, за месяц,
за все время
 цитировать  pm
Спасибо, уважаемый Бульдозер! Очень серьезный и обстоятельный расчет, вы подумали прямо обо всем! Если честно, я не все понял, особенно про формулы расчета среднеквадратических отклонений - математический аппарат не позволяет - но цифре 82% за Карлсена верю.

Под относительной разницей в рейтингах, видимо, подразумевается, насколько процентов рейтинг Карлсена больше, чем у Карякина (примерно на 3%). Конечно, данная величина особого смысла не имеет. 3% разницы в рейтинге элитных гроссов - это одно, 3% между детьми с рейтингами в 1000 и 1030 - это совсем другое.
номер сообщения: 16-488-220233

1410

Почитатель

24.09.2016 | 12:39:30

все его сообщения:
за день, за месяц,
за все время
 цитировать  pm
"Подготовка к матчу идет в рабочем режиме - уже было проведено несколько серьезных сборов, - сказал Карякин. - Целый тренерский штаб ищет слабые пункты в игре Магнуса и слабые места у меня, чтобы подлатать их перед матчем. Работа идет большая, и предстоит финальный сбор перед поединком, скорее всего, он пройдет в какой-либо теплой стране. Сколько человек мне помогает? Я могу сказать, что остаются все те же четыре человека, которые помогали мне перед турниром претендентов. А будут ли другие люди - это секрет. Пусть Магнус над этим ломает голову".

Секундантами Карякина при подготовке и ходу турнира претендентов были россияне Юрий Дохоян, Владимир Поткин, Александр Мотылев и азербайджанец Шахрияр Мамедьяров.

"Я надеюсь, что Магнуса в матче будут ждать сюрпризы, - продолжил гроссмейстер. - Но и он тоже будет пытаться их преподносить. Кто лучше подготовится, тот и победит. Изучен ли Карлсен уже на сто процентов? Это секрет. В США я планирую прилететь как минимум за две недели до начала матча, но точные сроки пока называть не хочу".
номер сообщения: 16-488-220240

1411

Cube2

24.09.2016 | 13:20:53

все его сообщения:
за день, за месяц,
за все время
 цитировать  pm
Всё очень серьёзно и секретно. Их много и у каждого из них свой лэптоп. Они способны в каждый отдельно взятый момент смотреть четыре партии Мага, две партии Сергея и параллельно блицовать на берег дот ру. Кто в данный момент блицует - секрет. Они никогда не выходят из отеля поодиночке, всегда парами и всегда в одинаковых чёрных костюмах и очках. Они поставили человека на форум. В любой момент каждому из нас могут постучать в дверь и спросить что мы на самом деле думаем о выкладках Bulldozer'a. Спросят вежливо но настойчиво. В Америку они приедут в Октябре. На трёх разных рейсах. Сидеть в самолёте будут всегда лицом к северу. Выходя сообщат по рации (да, у них кроме мобильников есть ещё и рация) что прибыли и готовы. К чему готовы? Пока секрет.
номер сообщения: 16-488-220242
написать сообщение