ChessPro online

Хроники коронавируса

вернуться в форум

30.09.2007 | 20:54:28

Главная  -  Поговорим?  -  Наука

19982

Evgeny Gleizerov

06.10.2021 | 15:48:14

все его сообщения:
за день, за месяц,
за все время
То есть вы являетесь сторонником лишения граждан Украины права безвизового въезда в ЕС?
номер сообщения: 49-54-36627

19983

VicS

Любитель

06.10.2021 | 17:38:45

все его сообщения:
за день, за месяц,
за все время
в более развитых странах по фармацевтике, в частности, в Европе

И никто не обиделся?
номер сообщения: 49-54-36628

19984

FIBM

06.10.2021 | 18:33:54

все его сообщения:
за день, за месяц,
за все время
Самый "вопиющий" пример политических двойных стандартов это: признание в Европе сертификата вакцинации от Джонсон (одноразовой), а Спутник-нет.
Обоснование этого не очень легко придумать.

Тем более, что Европу никто не заставляет ЗАКУПАТЬ спутник; речь идёт исключительно о признании международного сертификата вакцинации спутником.
номер сообщения: 49-54-36629

19985

Michael_S

06.10.2021 | 19:42:22

все его сообщения:
за день, за месяц,
за все время
Roger:
onedrey: А Новаваксу зачем показали? Его уже весь мир предзаказал, в том числе Еврокомиссия, а ЕМА не одобрила до сих пор. Хотя начали проверку на месяц раньше Спутника.

Хороший пример, да. Насколько я понимаю, Новавакс вообще нигде не одобрен, ни в одной стране. Ноль.

Они вообще-то результаты испытаний опубликовали на полгода позже Спутника, у них явные проблемы с производством, которым я не видел внятного объяснения, и критика как-то засунула язык в задницу. Если вы почитаете последние статьи, можно подумать, что их основная проблема - это антиковидные таблетки Merck.

Запрос на одобрение в ВОЗ они подали две недели назад (несмотря на меморандум с КоВаксом на 2Г доз), а в FDA не подали до сих пор - видимо, не видят шансов. При этом Канада сейчас за свои деньги строит для них заводик, а Евросоюз (тот самый, который не видит место для Спутника на своём рынке) предзаказал 200М доз.


Почитал чуть-чуть про них.
Любопытная контора. Существуют уже почти 35 лет, ни разу за это время не видели прибыли, сожгли в целом порядка 2 миллиардов инвесторских денег...
Новая экономика это вам не хухры-мухры. Никогда не читайте на ночь Адама Смита.
номер сообщения: 49-54-36630

19986

Neofelis

06.10.2021 | 19:55:48

все его сообщения:
за день, за месяц,
за все время
Evgeny Gleizerov: То есть вы являетесь сторонником лишения граждан Украины права безвизового въезда в ЕС?

Нет. Если молдованам можно, то почему нам нельзя? Обоснуйте.

Собственно, об этом и речь. Бюрократия - вынужненное зло. Украина, как вы знаете, долго к безвизу шла, "миллионы бумажек заполняла" так сказать.

Вы же хотите без очереди с регистрацией Спутника пролезть. А бумажки сами не ходят.
номер сообщения: 49-54-36631

19987

Evgeny Gleizerov

06.10.2021 | 20:04:57

все его сообщения:
за день, за месяц,
за все время
Простите, я-то почему должен обосновывать вашу точку зрения, с которой не согласен?

Вы же прекрасно понимаете, что граница должна быть закрыта. Пускать можно только понемногу и с деньгами. Иначе хаос и беспорядок.

Это мои слова или ваши? При безвизовом режиме пускают помногу и без денег. Хаос и беспорядок получается, по-вашему. А вовсе не по-моему, я-то всегда был рад за украинцев, что хоть они избавлены от бюрократического геморроя в этой части. Правда, вскоре всё пошло по известному анекдоту: "Вы сказали, что я имею право?" "Имеете". "Значит, я могу?" "Нет, не можете".

Вот меня всегда забавляло, как искренне вы удивляетесь, когда вам указывают на ваши двойные стандарты - одни для себя, совсем иные для других. Даже завидуешь немного такой простоте и непосредственности.
номер сообщения: 49-54-36632

19988

Neofelis

06.10.2021 | 20:23:46

все его сообщения:
за день, за месяц,
за все время
Я просто неудачно попытался вывести вас на признание необходимости бюрократии.
Да, украинцам дали безвиз, но этому предшествовали долгие годы переговоров, реформ и взятых на себя обязательств. Чтобы белорусам получить безвиз - им нужно пройти тот же долгий путь. И да, в процесе этого пути риски хаоса для Европы снижаются.
Аналогично с вакцинами. Вы в курсе сколько в мире вакцин от ковида? Почему все кричат только об непризнаном Спутнике? Потому что это ваш личный интерес?

И что странного в том, что первыми европейцы признали свои вакцины? Что в этом такого удивительного?
номер сообщения: 49-54-36633

19989

onedrey

06.10.2021 | 21:01:47

все его сообщения:
за день, за месяц,
за все время
Roger:
Запрос на одобрение в ВОЗ они подали две недели назад (несмотря на меморандум с КоВаксом на 2Г доз), а в FDA не подали до сих пор - видимо, не видят шансов. При этом Канада сейчас за свои деньги строит для них заводик, а Евросоюз (тот самый, который не видит место для Спутника на своём рынке) предзаказал 200М доз.


Так я про это и говорю, весь мир предзаказал, в том числе сама Европа. Почему тянут с одобрением? Если в ЕМА рулят рыночные соображения, а не соответствия требованиям, вопрос с Новаваксом, мягко говоря, важнее, чем со Спутником.

А чтоб "захватывать мировой рынок" для Спутника стократ важнее одобрение ВОЗ. Не только потому, что почти всем в мире этого достаточно, но и из-за попадания в тот самый Ковакс. Но в ВОЗ нас, очевидно, уже китайцы не пускают.

С ЮНИСЕФ у Спутника тоже меморандум, правда, на порядок меньше доз. Но это обусловлено производственными возможностями, скорее всего, куда им замахиваться на миллиарды. Даже Китай договорился только о 550 млн — правда, это уже договор, а не меморандум

"Мировой рынок" - это в большинстве своем благодетели, которые скупают вакцины и бесплатно раздают мировому нищебродству. ООН, США и остальные по мелочи. Ковакс до конца следующего года собирается закупить 6 млрд доз (в общей сложности, то есть собственно в 2022 - 4,5 млрд). Весь Спутник, который Россия способна поставить для внешнего рынка, там незаметно растворится. Одобрение в Европе - это вопрос политического престижа для РФ, а никак не денег. Как показала практика в Словакии, при свободном выборе Спутник все равно никому в Европе не нужен, люди выбирают другие вакцины. Россия не гонится тут за прибылью, она бы сама с радостью приплатила, если бы вопрос с одобрением решался деньгами
номер сообщения: 49-54-36634

19990

Roger


M.

06.10.2021 | 21:42:25

все его сообщения:
за день, за месяц,
за все время
onedrey: Так я про это и говорю, весь мир предзаказал, в том числе сама Европа. Почему тянут с одобрением? Если в ЕМА рулят рыночные соображения, а не соответствия требованиям, вопрос с Новаваксом, мягко говоря, важнее, чем со Спутником.

Видимо, стесняются быть первыми. Кроме того, у Новавакса планы на производство были раза в три больше, чем у Спутника, но что-то не идёт пока вообще, так что и спешить некуда.

onedrey: А чтоб "захватывать мировой рынок" для Спутника стократ важнее одобрение ВОЗ. Не только потому, что почти всем в мире этого достаточно, но и из-за попадания в тот самый Ковакс.

Для Новавакса есть, очевидно, какие-то другие пути - он-то в ВОЗ зашёл только в конце сентября.

onedrey: Как показала практика в Словакии, при свободном выборе Спутник все равно никому в Европе не нужен, люди выбирают другие вакцины. Россия не гонится тут за прибылью, она бы сама с радостью приплатила, если бы вопрос с одобрением решался деньгами

Ну так и колхоз ведь дело добровольное, его все выбрали. Кому нужна вакцина, с которой и в самолёт не сядешь, и за Шенген не выехать? Порядок в строю был восстановлен, а заплачено за это было сколькими-то жизнями, можно посчитать.

onedrey: "Мировой рынок" - это в большинстве своем благодетели, которые скупают вакцины и бесплатно раздают мировому нищебродству. ООН, США и остальные по мелочи.

Напоминаю, до июня вообще ничего из штатов не выходило, только ненужную АстраЗенеку балтиморского разлива сбросили с барского плеча, и то, кажется, только половину.
Но теперь пришла пора миру узнать, кто у него есть правильные благодетели.

onedrey: Ковакс до конца следующего года собирается закупить 6 млрд доз (в общей сложности, то есть собственно в 2022 - 4,5 млрд). Весь Спутник, который Россия способна поставить для внешнего рынка, там незаметно растворится.

Россия-то хотела бы выпускать в Индии и Китае, там и мощности другие, и вопрос о растворении не стоит. Но даже в третьем мире никому не будет нужна вакцина, которая не открывает двери.

onedrey: Одобрение в Европе - это вопрос политического престижа для РФ, а никак не денег.

Одобрение в Европе пусть оставят себе, достаточно признания.
номер сообщения: 49-54-36635

19991

onedrey

06.10.2021 | 21:47:13

все его сообщения:
за день, за месяц,
за все время
UCHealth says it will deny transplants to almost all patients unvaccinated against the coronavirus - The Washington Post

И вот уже невакцинированным отказывают в праве на жизнь. Впрочем, более чем предсказуемо
номер сообщения: 49-54-36636

19992

onedrey

06.10.2021 | 22:10:35

все его сообщения:
за день, за месяц,
за все время
Roger:
Ну так и колхоз ведь дело добровольное, его все выбрали. Кому нужна вакцина, с которой и в самолёт не сядешь, и за Шенген не выехать? Порядок в строю был восстановлен, а заплачено за это было сколькими-то жизнями, можно посчитать.


Например, нужна тем, кому сэкономить свою жизнь важнее, чем летать в самолете или выезжать из шенгена. В особенности тем, кто и не собирался никуда лететь, в особенности именно туда, где не пускают со Спутниковским сертификатом. Видать, все словаки заядлые путешественники, мало кто знает об этом.

Посчитайте, кстати, сколькими жизнями заплачено. Спутник начали рассматривать в марте. АстраЗенеку одобряли 4 месяца. В июле дефицита вакцин уже почти нигде в ЕС не было. При этом и возможности Спутника тогда были крайне ограничены, мягко говоря. Даже еще более ограничены, чем сейчас.
Неплохо также для сравнения посчитать, сколькими жизнями заплатили за каждый день промедления одобрения той же АЗ или Пфайзера. Учитывая, что бигфарма в день может поставлять столько, сколько Спутник за месяц, а они придирались к вялым турецким помидорам тромбам.
номер сообщения: 49-54-36637

19993

VicS

Любитель

06.10.2021 | 22:38:12

все его сообщения:
за день, за месяц,
за все время
Если в интересах дискуссии предположить, что не по политическим причинам, а совсем не могут по Спутнику нужные бумажки нормально оформить и на уфимском заводе что-то поправить, то в этом фантастическом варианте можно ли считать, что заплачено жизнями?
номер сообщения: 49-54-36638

19994

onedrey

06.10.2021 | 22:48:36

все его сообщения:
за день, за месяц,
за все время
Долгожданное постановление губернатора Воронежской области.

А всё почему? А вот почему

Губернатор Воронежской области с коронавирусом в тяжелом состоянии проходит лечение в Москве. Его пытались лечить в Воронеже, не получилось, перевели в Москву.

Дошло
номер сообщения: 49-54-36639

19995

Plast2019

06.10.2021 | 23:02:29

все его сообщения:
за день, за месяц,
за все время
Там в Воронеже не чич ли губернатором подвизался?
номер сообщения: 49-54-36640

19996

grizly

06.10.2021 | 23:02:38

все его сообщения:
за день, за месяц,
за все время
COVID-19 Vaccine Global Supply Forecast
номер сообщения: 49-54-36641

19997

saluki

06.10.2021 | 23:23:16

все его сообщения:
за день, за месяц,
за все время
onedrey: UCHealth says it will deny transplants to almost all patients unvaccinated against the coronavirus - The Washington Post

И вот уже невакцинированным отказывают в праве на жизнь. Впрочем, более чем предсказуемо

фига себе. а что, необходимость в трансплантации органов - это не основание для отвода от прививки само по себе?
номер сообщения: 49-54-36642

19998

Roger


M.

06.10.2021 | 23:27:18

все его сообщения:
за день, за месяц,
за все время
Neofelis: Да, украинцам дали безвиз, но этому предшествовали долгие годы переговоров, реформ и взятых на себя обязательств. Чтобы белорусам получить безвиз - им нужно пройти тот же долгий путь. И да, в процесе этого пути риски хаоса для Европы снижаются.

Вытащил из Евростата иммиграцию в страны ЕС из разных братских стран. Информация не полна, в ней нет Германии, Франции, Кипра, Греции, Португалии и Польши (!), некоторые страны стали подавать статистику только в последние годы, так что тренды могут быть немного искажены, но для оценки рисков хаоса, я думаю, сойдёт. На население можете нормировать самостоятельно.

номер сообщения: 49-54-36643

19999

Roger


M.

06.10.2021 | 23:41:49

все его сообщения:
за день, за месяц,
за все время
saluki:
onedrey: UCHealth says it will deny transplants to almost all patients unvaccinated against the coronavirus - The Washington Post

И вот уже невакцинированным отказывают в праве на жизнь. Впрочем, более чем предсказуемо

фига себе. а что, необходимость в трансплантации органов - это не основание для отвода от прививки само по себе?

Реципиентам, вообще-то иммунитет подавляют; если делать прививку после трансплантации, то титры антител будут на два порядка меньше, чем если делать её до трансплантации, так что одним бустером дело может не обойтись.

Ну и прививка до трансплантации по опасности не идёт ни в какое сравнение даже с малой вероятностью ковида после, по тем же причинам.
номер сообщения: 49-54-36644

20000

Roger


M.

07.10.2021 | 00:33:33

все его сообщения:
за день, за месяц,
за все время
onedrey: Неплохо также для сравнения посчитать, сколькими жизнями заплатили за каждый день промедления одобрения той же АЗ или Пфайзера. Учитывая, что бигфарма в день может поставлять столько, сколько Спутник за месяц...

Ни сколькими, естественно. Ни та, ни другая не лежали на складах (ну, кроме американских), а расхватывались, как горячие пирожки; Британия дралась с Евросоюзом за сток так, что щепки летели.
номер сообщения: 49-54-36645

20001

onedrey

07.10.2021 | 00:37:34

все его сообщения:
за день, за месяц,
за все время
Roger:
Ни сколькими, естественно. Ни та, ни другая не лежали на складах


Зато от Спутника склады ломились, да
номер сообщения: 49-54-36646

20002

Michael_S

07.10.2021 | 00:44:59

все его сообщения:
за день, за месяц,
за все время
Швеция и Дания забанили Модерну для тех, кто младше 30.

P.S.
Нет, Швеция для тех, кто младше 30, а Дания пока только для тех, кто младше 18.
номер сообщения: 49-54-36647

20003

Roger


M.

07.10.2021 | 03:01:18

все его сообщения:
за день, за месяц,
за все время
onedrey: Зато от Спутника склады ломились, да

В Словакии ломились, да.
номер сообщения: 49-54-36648

20004

grizly

07.10.2021 | 07:26:16

все его сообщения:
за день, за месяц,
за все время
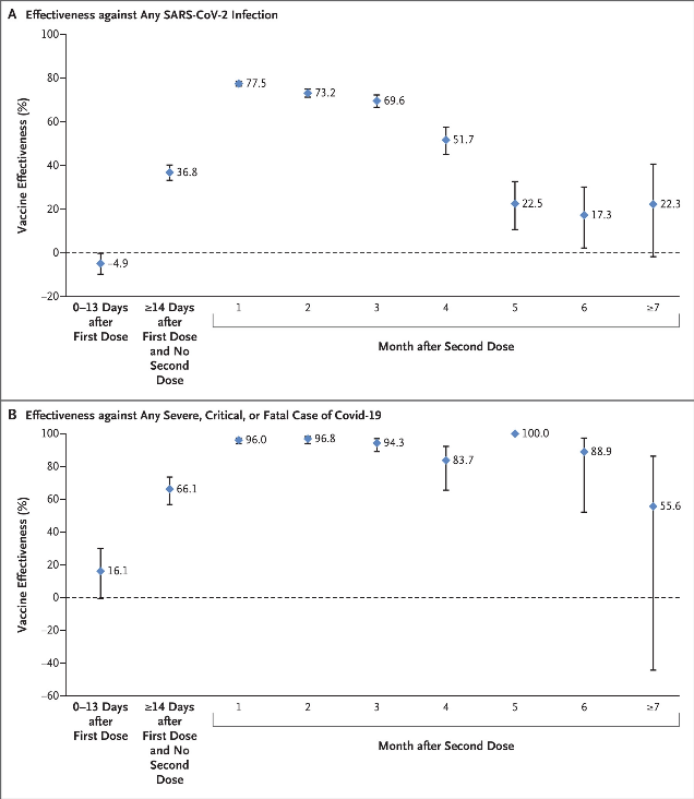
Waning of BNT162b2 Vaccine Protection against SARS-CoV-2 Infection in Qatar

Estimated BNT162b2 effectiveness against any SARS-CoV-2 infection was negligible in the first 2 weeks after the first dose. It increased to 36.8% (95% confidence interval [CI], 33.2 to 40.2) in the third week after the first dose and reached its peak at 77.5% (95% CI, 76.4 to 78.6) in the first month after the second dose. Effectiveness declined gradually thereafter, with the decline accelerating after the fourth month to reach approximately 20% in months 5 through 7 after the second dose. Effectiveness against symptomatic infection was higher than effectiveness against asymptomatic infection but waned similarly. Variant-specific effectiveness waned in the same pattern. Effectiveness against any severe, critical, or fatal case of Covid-19 increased rapidly to 66.1% (95% CI, 56.8 to 73.5) by the third week after the first dose and reached 96% or higher in the first 2 months after the second dose; effectiveness persisted at approximately this level for 6 months.

номер сообщения: 49-54-36649

20005

grizly

07.10.2021 | 07:44:54

все его сообщения:
за день, за месяц,
за все время
Waning Immune Humoral Response to BNT162b2 Covid-19 Vaccine over 6 Months
Despite high vaccine coverage and effectiveness, the incidence of symptomatic infection with severe acute respiratory syndrome coronavirus 2 (SARS-CoV-2) has been increasing in Israel. Whether the increasing incidence of infection is due to waning immunity after the receipt of two doses of the BNT162b2 vaccine is unclear.

Results. The study included 4868 participants, with 3808 being included in the linear mixed-model analyses. The level of IgG antibodies decreased at a consistent rate, whereas the neutralizing antibody level decreased rapidly for the first 3 months with a relatively slow decrease thereafter. Although IgG antibody levels were highly correlated with neutralizing antibody titers (Spearman’s rank correlation between 0.68 and 0.75), the regression relationship between the IgG and neutralizing antibody levels depended on the time since receipt of the second vaccine dose. Six months after receipt of the second dose, neutralizing antibody titers were substantially lower among men than among women (ratio of means, 0.64; 95% confidence interval [CI], 0.55 to 0.75), lower among persons 65 years of age or older than among those 18 to less than 45 years of age (ratio of means, 0.58; 95% CI, 0.48 to 0.70), and lower among participants with immunosuppression than among those without immunosuppression (ratio of means, 0.30; 95% CI, 0.20 to 0.46).

Published work about many vaccines, such as those against measles, mumps, and rubella, has shown a small decrease each year of 5 to 10% in the neutralizing antibody levels. We found that a significant and rapid decrease in humoral response to the BNT162b2 vaccine was observed within months after vaccination.

номер сообщения: 49-54-36650

20006

onedrey

07.10.2021 | 08:04:04

все его сообщения:
за день, за месяц,
за все время
Roger:
onedrey: Зато от Спутника склады ломились, да

В Словакии ломились, да.


Но он там никому не был нужен. В Словакию было завезено 200 тысяч доз в марте, на 2% населения. Да так и остались неиспользованными. Трудно назвать это ломлением складов. За март всего было вколото 500 тысяч доз, за апрель 600 тысяч, за май миллион. То есть от прочих вакцин склады "ломились" еще сильнее

Вообще ссылка на то, что Спутник не годился для пересечения границ и самолетов, не убедительна ещё и вот почему: когда был дефицит вакцин, никуда и не требовали вакцинный сертификат; а требовать стали только тогда, когда склады уже действительно ломились от других вакцин. Да и сейчас для словака мало где будет преимущество благодаря прививке Пфайзера, по сравнению со словаком, привитым Спутником.
номер сообщения: 49-54-36651

20007

mickey

07.10.2021 | 09:21:45

все его сообщения:
за день, за месяц,
за все время
onedrey:
Вообще ссылка на то, что Спутник не годился для пересечения границ и самолетов, не убедительна ещё и вот почему: когда был дефицит вакцин, никуда и не требовали вакцинный сертификат; а требовать стали только тогда, когда склады уже действительно ломились от других вакцин. Да и сейчас для словака мало где будет преимущество благодаря прививке Пфайзера, по сравнению со словаком, привитым Спутником.

Да Вы что?! Сейчас без сертификата (условного Пфайзера, не Спутника) никуда не поедешь или по возвращении сядешь на карантин (это для поляков, но не думаю, что у словаков иначе).
Только что шеф моей команды в Бундеслиге спросил меня, привит ли я. Иначе приезд в Германию и выступление за команду было бы исключено.
И все это было понятно с самого начала. И о сертификатах говорили задолго до того, как их ввели. Вопрос был только, как долго не будет признаваться Спутник, все же никто не ожидал, что больше года (а теперь, скорее всего, вообще никогда, по крайней мере не во время этой пандемии).
номер сообщения: 49-54-36652

20008

onedrey

07.10.2021 | 09:33:31

все его сообщения:
за день, за месяц,
за все время
mickey:
Да Вы что?! Сейчас без сертификата (условного Пфайзера, не Спутника) никуда не поедешь или по возвращении сядешь на карантин (это для поляков, но не думаю, что у словаков иначе).

Так для словаков в самой Словакии нет никакой разницы между Спутником и Пфайзером. При возвращении не нужен карантин. Собственно, в саму Словакию и для иностранцев, привитых Спутником, въезд на тех же основаниях, что и для привитых Пфайзером. Для россиян, к примеру.

АПД. Хотя, кажется, россиян со Спутником перестали впускать. Но в июле писали, что впускают. Не могу точно сказать

Куда-то поехать - да, нужна будет вакцинация именно одобренной ЕМА вакциной, а Спутник не годится. В частности, в Польше именно так. Но таких стран относительно немного. Например, в Британии нужен тест независимо от вакцинации никакой вакциной. А где-то Словакию считают "зеленой" страной и никаких документов не требуют. А где-то принимают любую вакцинацию.
номер сообщения: 49-54-36653

20009

onedrey

07.10.2021 | 11:27:02

все его сообщения:
за день, за месяц,
за все время
A San Antonio man was sentenced today to 15 months in prison for perpetrating a hoax related to COVID-19 in April 2020.

According to court records, a federal jury found Christopher Charles Perez, aka Christopher Robbins, 40, guilty of two counts of 18 U.S.C. § 1038, which criminalizes false information and hoaxes related to biological weapons.

Evidence presented during trial revealed that Perez posted two threatening messages on Facebook in which he claimed to have paid someone who was infected with COVID-19 to lick items at grocery stores in the San Antonio area to scare people away from visiting the stores. On April 5, 2020, a screenshot of the initial posting was sent by an online tip to the Southwest Texas Fusion Center (SWTFC), which then contacted the FBI office in San Antonio for further investigation. The threat was false. Perez did not pay someone to intentionally spread coronavirus at grocery stores, according to investigators and Perez’s own admissions.

In addition to the sentence, Perez was ordered to pay a $1,000 fine.

“Trying to scare people with the threat of spreading dangerous diseases is no joking matter,” said U.S. Attorney Ashley C. Hoff. “This office takes seriously threats to harm the community and will prosecute them to the full extent of the law.”

“Those who would threaten to use COVID-19 as a weapon against others will be held accountable for their actions, even if the threat was a hoax,” said FBI San Antonio Division Special Agent in Charge Christopher Combs. “Perez’s actions were knowingly designed to spread fear and panic and today’s sentencing illustrates the seriousness of this crime. The FBI would like to thank our law enforcement partners for their help in this case.”

The FBI’s Joint Terrorism Task Force, along with Weapons of Mass Destruction personnel, conducted this investigation. Assistant U.S. Attorneys William R. Harris, Kelly Stephenson and Mark Roomberg prosecuted the case.

On May 17, 2021, the Attorney General established the COVID-19 Fraud Enforcement Task Force to marshal the resources of the Department of Justice in partnership with agencies across government to enhance efforts to combat and prevent pandemic-related fraud.
номер сообщения: 49-54-36654

20010

Evgeny Gleizerov

07.10.2021 | 12:16:19

все его сообщения:
за день, за месяц,
за все время
onedrey: Так для словаков в самой Словакии нет никакой разницы между Спутником и Пфайзером.

В Словакии да, там Спутник признан. Но жители ЕС, особенно малых стран, очень много путешествуют за границу. А там уже вакцинированные Спутником приравниваются к невакцинированным. А быть невакцинированным в ЕС сейчас очень плохо, и я это знаю от живых людей, а не из интернета.

Кстати, вот вопрос с Сан-Марино оперативно решён, тамошние сертификаты (а там подавляющее большинство привито именно Спутником) признаются в ЕС. Это лишний раз свидетельствует о том, что вопрос непризнания Спутника к медицине отношения не имеет, а имеет к политике и экономике.
номер сообщения: 49-54-36655

20011

Michael_S

07.10.2021 | 12:51:18

все его сообщения:
за день, за месяц,
за все время
В Сан Марино, кстати, вакцинация закончилась примерно 20 мая. Если предположить, что Спутник в части предовращения заражения выдыхается примерно с той же скоростью, что БНТ, то они по части опасности для окружающих, уже сейчас мало отличаются от невакцинированых, а через месяц совсем не будут отличаться.
Так что и в этом отношении медицина не причем.

Вот чего я не знаю, так это кто платит больнице, если гражданин Сан Марино попал в нее, скажем, во Франции. Если платят французы, то какой-то смысл в предпочтении, отдаваемом вакцинированым Сан Маринцам перед их невакцинироваными согражданами все же имеется.
номер сообщения: 49-54-36656