ChessPro online

Приходите в гости к нам...

вернуться в форум

08.06.2006 | 12:19:19

Главная  -  Поговорим?  -  Беседы о...

25652

dimarko

09.11.2023 | 00:01:55

все его сообщения:
за день, за месяц,
за все время
Roger: Лучше конечно когда не бомжи, а клошары.

Это как с вашей любимой голландской селёдкой
номер сообщения: 8-121-120826

25653

Roger


M.

09.11.2023 | 00:03:43

все его сообщения:
за день, за месяц,
за все время
dimarko:
jenya:
Kazus: я-то думал, что по-чешски любовь это заёба

Это ушедшая любовь.

Уже немного поздновато ушедшая, так в викисловаре

Викисловарь говорит, что это арабское слово, означающее "красивая".
номер сообщения: 8-121-120827

25654

saluki

09.11.2023 | 00:31:43

все его сообщения:
за день, за месяц,
за все время
Michael_S: Я вообще логику FIBM не понимаю.
На мой взгляд, если при наличии свободы передвижения в каком-то городе бомжей значительно больше, чем у соседей, то этот город скорее всего лучше, чем соседи. Как минимум, люди дружелюбнее, но скорее всего еще и богаче. Климат мягче, как Роджер заметил. Больше подземных переходов.

логика в духе "чем больше блохи, тем здоровее собака" ошибочна. скорее всего, владельцы собаки просто не умеют выбирать правильный шампунь.
номер сообщения: 8-121-120828

25655

Evgeny Gleizerov

09.11.2023 | 00:45:47

все его сообщения:
за день, за месяц,
за все время
В польском есть похожее слово, только мужского рода, как и в русском. Значения, кстати, тоже близки к русским. Уж не русизм ли?

P.S. И точно - русизм. Сразу не заметил, но там по ссылке указано "etymologia: ros."
номер сообщения: 8-121-120829

25656

FIBM

09.11.2023 | 00:53:34

все его сообщения:
за день, за месяц,
за все время
Michael_S:
На мой взгляд, если при наличии свободы передвижения в каком-то городе бомжей значительно больше, чем у соседей, то этот город скорее всего лучше, чем соседи. Как минимум, люди дружелюбнее.

Не сомневаюсь, что в конце 90-х с большим отрывом самые дружелюбные люди были в центре LA. По доходившей до меня информации считал, что первое место в этом соревновании «дружелюбия» LA сохранял и до сих пор. Но после поста Kazus засомневался.
номер сообщения: 8-121-120830

25657

BillyBones


Т. - А.

09.11.2023 | 01:09:59

все его сообщения:
за день, за месяц,
за все время
saluki:
логика в духе "чем больше блохи, тем здоровее собака" ошибочна. скорее всего, владельцы собаки просто не умеют выбирать правильный шампунь.

Роль личности в истории. Это когда блохи находятся в полной уверенности, что самая проворная из них и есть хозяин собаки.
номер сообщения: 8-121-120831

25658

Kazus


Maryland

09.11.2023 | 02:59:32

все его сообщения:
за день, за месяц,
за все время
Про бомжей я нисколько не преувеличил, они действительно были возле каждого столба, на которых нужно жать кнопку, чтобы перейти улочку. Причем устройство «говорило» мужским голосом когда можно перейти, а не бибкало. Поэтому я поначалу вздрагивал, думал, что это бомж мне разрешает.
Но вполне допускаю, что мы оказались в самом неблагополучном портовом районе и в других местах более терпимая обстановка. В одном из отзывов по гостинице можно найти, что прямо за гостиницей находится «бомжовый лагерь». Может этим шелтером все и объясняется. Но факт есть факт - двери после 8 часов в этой гостинице запираются из-за бомжей. Вчера смотрел бомжовые графики, было видно, что в ковид бомжи сократились, сейчас снова подъем. А также попадалось, что расходы из бюджета города (или штата) на бомжей сильно сократились.

После посещения Сада и Иглы, немного отдохнули в своем номере и отправились в разведку в порт.
Меня интересовало качество дороги, по которой нам придется утром идти 7 минут и тащить наш чемодан. Колесики у него есть, но маленькие и пластмассовые, сам чемодан очень неустойчив - нужно идти строго плечо в плечо иначе он начинает заваливаться. И самое главное, в одном месте нам нужно его приподнять и перенести через железную дорогу, которая без шлагбаумов. Там висит табличка, что нужно слушать гудок поезда, никаких иных сигналов не будет. А в самом порту нужно было выяснить какой из двух павильонов для чего служит, куда сдать чемодан, а куда идти самим на проверку. Но это уже при случае, такие вещи обычно видны по поведению всей толпы пассажиров.

В новом портовом ресторане нам не понравилось чисто морское меню, но понравилась вывеска, что с домашними животными проходить нельзя, но мы о них позаботимся и даже накормим. Так что просто спокойно прогулялись в порту, сделали всякие фото, а кушать отправились в район гостиницы. Вот такое вечернее фото из порта с пирса, на котором еще не было нашего корабля. Погода в Сиэтле была прекрасная все три дня.

номер сообщения: 8-121-120833

25659

Kazus


Maryland

09.11.2023 | 18:37:53

все его сообщения:
за день, за месяц,
за все время
Вечер прошёл спокойно, смотрели тв, читали, а потом легли спать при красном свете, от которого нельзя было избавиться. И тут под потолком раздался писк. Это карбон-монооксид детектор проснулся. Он днем один раз при нас тоже пискнул, но я не придал этому значения - такое бывает. Через несколько минут снова пискнул и потом зачастил - пищал каждую минуту.
Спать было невозможно. Открыл окно - не помогло. Некоторые модели детекторов так себя ведут когда нужно заменить батарейку. Потолки в номере высоченные, стремянки нет, никого из администрации нет. И еще неизвестно может эти датчики в гостинице запитаны по проводам от блоков питания. У каждого из нас было по две подушки, так что уши можно было прикрыть, но это полностью звук не гасило. Были бы презервативы можно было бы попробовать их натянуть на головы. Наушники у меня с собой были простые, без подавления внешнего шума, у жены вообще не было. Так и мучились до утра при красном свете. А утром этот гад стал пищать реже и потом вообще замолчал…
Позавтракали, собрали вещи и пошли сдавать ключи. Я колебался - стоит ли давать знать администрации о том как у нас прошла ночь потому что на смену заступила опять эта милая женщина, что нас принимала. Но жена мои сомнения не разделяла - она выложила все как было. На лице у женщины был написан неподдельный ужас, они очень боятся плохих отзывов. Я же просто ей посоветовал передать технику проверить питание, может оно ночью меняется, и оставить кого-то хотя бы на одну ночь для проверки. Еще раз поблагодарил за апгрейд номера, правда, прозвучало это уже как укор, так что я добавил еще и улыбку. Чаевые мы администраторше в любом случае бы не оставили так как в этой гостинице в номерах, снятых на несколько дней, не убирают, нужно дополнительно платить если хочешь прибраться.

Чемодан мы спустили по той лестнице без особых проблем, все же вниз это не вверх, хоть и на пятках. Минут через 5 уже пересекли железнодорожный путь и тут нам дорогу преградила фура, которая хотела сделать разворот, но водитель боялся наезжать на железнодорожные рельсы. Обождали еще 5 минут и, поскольку не было никакого прогресса, потащили чемодан в обход к пирсу. Времени в запасе у нас было много так как отплыв корабля был назначен на 5 вечера.
номер сообщения: 8-121-120838

25660

jenya

не то, чтобы очень
но и не так, чтобы совсем не

09.11.2023 | 22:14:49

все его сообщения:
за день, за месяц,
за все время
Эти детекторы иногда начинают орать fire-fire, когда курица подгорает. Помню, один раз ничего не помогало и пришлось его снять и унести в бейсмент, где он, наверное, распугал всех мышей.
номер сообщения: 8-121-120839

25661

jenya

не то, чтобы очень
но и не так, чтобы совсем не

09.11.2023 | 22:16:58

все его сообщения:
за день, за месяц,
за все время
Шеф Ю.А. встретил сегодня Ю.А. вопросом, слышит ли она его голос. Ю.А. ответила утвердительно. Шеф сказал, что она, видимо, тот редкий человек, который слышит, потому что он проверял письменные экзамены студентов и пришёл к выводу, что они не слышат.

Счастливые, слепые и глухие,
Такие непохожие на нас.

Иваси
номер сообщения: 8-121-120840

25662

Quantrinas

Любитель
DD

10.11.2023 | 00:40:01

все его сообщения:
за день, за месяц,
за все время
Я тоже иногда сомневаюсь, что студенты слышат мой голос. Но обычно выясняю это гораздо раньше, на первом практическом занятии.

P.S. Кстати, говорю я очень громко без всяких микрофонов.

__________________________
Audiatur et altera pars
номер сообщения: 8-121-120841

25663

grizly

10.11.2023 | 01:03:18

все его сообщения:
за день, за месяц,
за все время
А батарейку нельзя было вынуть?
номер сообщения: 8-121-120842

25664

jenya

не то, чтобы очень
но и не так, чтобы совсем не

10.11.2023 | 03:42:37

все его сообщения:
за день, за месяц,
за все время
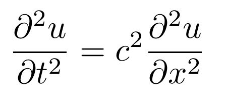
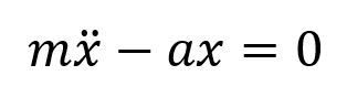
Можно сменить батарейку, анекдот рассказать, например. Впрочем, я сегодня устроил пятиминутный перерыв в лекции раньше обычного, после того, как люди молчали на вопрос, как выглядит решение уравнения



для положительного а. Вторая механика, примерно третий курс.
номер сообщения: 8-121-120843

25665

Roger


M.

10.11.2023 | 05:02:34

все его сообщения:
за день, за месяц,
за все время
А для отрицательного знают?
номер сообщения: 8-121-120844

25666

jenya

не то, чтобы очень
но и не так, чтобы совсем не

10.11.2023 | 06:45:16

все его сообщения:
за день, за месяц,
за все время
Синус был предложен после некоторого молчания для положительного, поэтому может не знают, но подозревают.
номер сообщения: 8-121-120845

25667

strumball

10.11.2023 | 09:23:34

все его сообщения:
за день, за месяц,
за все время
Банальность, высказанная громко ("без всяких микрофонов"), увы, не теряет своих свойств. Попробуйте, Дмитрий, импровизировать. Например, не прийти на лекцию и объяснить это тем, что не читали расписание. Как и студенты, не читающие ваш бестселлер. Ну или рассказывать материал не так громко и нудно. Вы анекдоты умеете смешно пересказывать или только Saechsische Zeitung?
номер сообщения: 8-121-120846

25668

FIBM

10.11.2023 | 09:36:31

все его сообщения:
за день, за месяц,
за все время
jenya: Впрочем, я сегодня устроил пятиминутный перерыв в лекции раньше обычного, после того, как люди молчали на вопрос, как выглядит решение уравнения



для положительного а. .

«Значит им плохо преподавали математику»(ц. Л. Ландау). Я бы уточнил: «НЕ преподавали».
номер сообщения: 8-121-120847

25669

jenya

не то, чтобы очень
но и не так, чтобы совсем не

10.11.2023 | 09:59:21

все его сообщения:
за день, за месяц,
за все время
You'd think they would begin to understand it by now.
номер сообщения: 8-121-120848

25670

VicS

Любитель

10.11.2023 | 14:21:55

все его сообщения:
за день, за месяц,
за все время
Складывается впечатление, что зря Квант когда-то поставил двойку одному студенту. Тот не попал в физики и теперь будет мстить профессору всю жизнь.
И форум - подходящее место.
номер сообщения: 8-121-120849

25671

Michael_S

10.11.2023 | 15:50:40

все его сообщения:
за день, за месяц,
за все время
Ага. Громко и нудно.
номер сообщения: 8-121-120850

25672

Michael_S

10.11.2023 | 16:01:00

все его сообщения:
за день, за месяц,
за все время
FIBM:
«Значит им плохо преподавали математику»(ц. Л. Ландау). Я бы уточнил: «НЕ преподавали».


Те, кому хорошо преподавали, в 90% процентах случаев тоже полную форму решения сходу не выдадут.
Преподают то, как правило, решение обыкновенных дифуров с первой производной, а здесь вторая. Я бы от половины тех, кому хорошо преподавали, не ожидал быстрого ответа. А от большинства из другой половины - неполный ответ. А полный - после наводящих вопросов.

И то, смотря где. Там, где я учился, на втором курсе на лекции по общей физике быстро и неполно ответило бы намного меньше, чем половина аудитории. Хотя математику на первом курсе нам читали вполне квалифицировано.
номер сообщения: 8-121-120851

25673

Kazus


Maryland

10.11.2023 | 16:32:32

все его сообщения:
за день, за месяц,
за все время
Корабль Norwegian Bliss, кажется, самый большой среди норвежской серии (только пассажиров 4000), так что я ожидал многочасовой посадки. Но к моему удивлению в 3 часа дня мы уже не только прошли все проверки, но и получили карточки-ключи от каюты, вот только в каюты еще не пускали, они еще не были готовы. Но пассажирам предлагали посетить буфет, созерцая Сиэтл



и потом разместиться или на закрытой обзорной палубе или на открытой палубе где бассейн. Обзорная палуба была уже заполнена, так что нам оставалось найти свободные топчаны и смотреть как детишки резвятся в бассейне и других водных аттракционах. Это был последний по прогнозу погожий день. Даже следующим утром уже обещали сильный туман, а это будет весь день в море. Корабль должен был сделать большой перегон в Джуно (Juneau). А весь маршрут планировался быть таким:

номер сообщения: 8-121-120852

25674

jenya

не то, чтобы очень
но и не так, чтобы совсем не

10.11.2023 | 18:22:07

все его сообщения:
за день, за месяц,
за все время
Michael_S: И то, смотря где. Там, где я учился, на втором курсе на лекции по общей физике быстро и неполно ответило бы намного меньше, чем половина аудитории. Хотя математику на первом курсе нам читали вполне квалифицировано.

В целом, это проходят на курсах по физике до курсов по диффурам. В Иерусалимском университете гармонические колебания это осенний семестр Механики, первый курс. Дальше это уравнение с обоими знаками константы не раз встречается в курсе Modern Physics (физика модернит веквантит, второй курс Иерусалимского университета). Мои студенты уже близки к выпуску, оба курса брали. Но решение может уловить любой умеющий дифференциировать человек.
номер сообщения: 8-121-120854

25675

jenya

не то, чтобы очень
но и не так, чтобы совсем не

10.11.2023 | 18:37:53

все его сообщения:
за день, за месяц,
за все время
Kazus:

В этих местах не был, но был на воде выше и левее (8-121-109123).
номер сообщения: 8-121-120855

25676

Roger


M.

10.11.2023 | 20:12:19

все его сообщения:
за день, за месяц,
за все время
FIBM: «Значит им плохо преподавали математику»(ц. Л. Ландау). Я бы уточнил: «НЕ преподавали».

Я бы сказал, физику.

Такой диффур с отрицательным a был первым, который я видел вживую. Было это на первом семинаре (или лабе, в любом случае это было первым занятием в первый день) по физике на первом курсе. Школьная программа до них не доходила, и к слову этому я относился с пиететом.

Но наш преп не спрашивал, все ли в группе умеют решать диффуры, не говоря уже о диффурах второго порядка, и начал быстро строчить на доске. Я отключился, когда он написал плюс и далее нечто волнообразное (это было конечно + const, но почерк у него был никакой).

В группе сидели и такие, как я, и выпускники спецшкол, включая ФМШ №18, которых этим было не запугать. Кажется, к концу первого семестра всё выровнялось, и я оценил преимущества подобного метода. Наверное, это и называется "система физтеха". Женя может попробовать провести бесчеловечные эксперименты на людях.

Кстати, преп был вот этот.
номер сообщения: 8-121-120856

25677

jenya

не то, чтобы очень
но и не так, чтобы совсем не

10.11.2023 | 20:25:48

все его сообщения:
за день, за месяц,
за все время
Да, я написал примерно то же самое. Мне даже + const и полное решение не нужны, это был в рамках объяснения довольно хитрой вещи: устойчивости круговой орбиты (при каких силах гравитации она устойчива, при каких нет). Добавляешь к круговой орбите возмущение, линеаризирушь и вычисляешь эту а; если а положительно, то возмущение будет расти экспоненциально. А если отрицательно, то получаются радиальные колебания вокруг круговой отбиты. На фоне этой существенно более сложной темы, отсутствие ответов на достаточно элементарный вопрос ... в общем, у меня было довлатовское ощущение "В разговоре с женщиной есть один болезненный момент. Ты приводишь факты, доводы, аргументы. Ты взываешь к логике и здравому смыслу. И неожиданно обнаруживаешь, что ей противен сам звук твоего голоса".
номер сообщения: 8-121-120857

25678

Quantrinas

Любитель
DD

10.11.2023 | 21:46:35

все его сообщения:
за день, за месяц,
за все время
Задача со звёздочкой



__________________________
Audiatur et altera pars
номер сообщения: 8-121-120858

25679

jenya

не то, чтобы очень
но и не так, чтобы совсем не

10.11.2023 | 21:53:20

все его сообщения:
за день, за месяц,
за все время
Это мы как раз проходили: я недели две обсуждал всякие колебания. Иногда я даже прохожу нелинейные колебания (поправка к частоте), но последние годы публика послабее, поэтому я пропускаю этот кусок. В этом году только рассказал идею.
номер сообщения: 8-121-120859

25680

Quantrinas

Любитель
DD

10.11.2023 | 22:03:19

все его сообщения:
за день, за месяц,
за все время
А если так



__________________________
Audiatur et altera pars
номер сообщения: 8-121-120860

25681

FIBM

10.11.2023 | 22:04:40

все его сообщения:
за день, за месяц,
за все время
jenya: устойчивости круговой орбиты (при каких силах гравитации она устойчива, при каких нет). Добаляешь к круговой орбите возмущение, линеаризирушь и вычисляешь эту а; если а положительно, то возмущение будет расти экспоненциально. А если отрицательно, то получаются радиальные колебания вокруг круговой отбиты.

1. Именно это (разные типы решений, устойчивость решений) и изучалось в разделе матана -дифференциальные уравнения второго порядка, на втором курсе любого приличного технического вуза. С поправкой, что так было в «древности».
2. Думаю, что проблема не только (и не столько) в студентах, а в современной системе обучения: «набор курсов» вместо «системы связанных курсов».
номер сообщения: 8-121-120861